[拼音]:fenzi kuosan xishu
[外文]:molecular diffusivity
表征物质分子扩散能力的物理量,受系统的温度、压力和混合物中组分浓度的影响。根据斐克定律,组分A在组分B中的分子扩散系数,其值等于该物质在单位时间内、单位浓度梯度作用下、经单位面积沿扩散方向传递的物质量。
组分在气体中分子扩散系数约10-5~10-4m2/s,在液体中约为10-9~10-10 m2/s,在固体中约为10-9~10-14 m2/s。分子扩散系数的准确数值是通过实验测定的。气体和液体中的分子扩散系数,也用一些半经验公式估算。
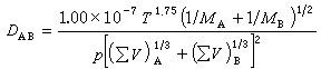
气体中的分子扩散系数对于压力不太高的双组分气体混合物,将分子结构和运动作适当简化后,用气体分子运动论能够导出计算分子扩散系数的理论式,再根据实验结果作适当修正得出半经验的计算式。例如:
式中DAB为组分A在组分B中的分子扩散系数;MA和MB分别为组分A和B的分子量;p为总压力;T为绝对温度;(∑V)A、(∑V)B分别为组分A和B的分子体积。此式的计算值与实测值的平均偏差为4%~7%,对含强极性分子的系统尤欠准确。
液体中的分子扩散系数曾有人对于稀溶液中溶质的分子扩散作过一些理论分析,导出了如下的关系式:
式中μB为溶剂粘度;F(V)为与混合物分子体积有关的函数。在这个基础上提出的半经验式,可用以计算非电解质组分A在其稀溶液中的分子扩散系数。例如:
式中VA为组分A在正常沸点下的摩尔体积;φB为溶剂的缔合因子,对于水其推荐值为2.6,甲醇为1.9,乙醇为1.5,苯、醚、庚烷等非缔合溶剂为 1.0。此式计算值与实测偏差在13%以内。液体中的分子扩散系数与溶液的浓度密切相关。
固体中的分子扩散系数若固体内部存在某一组分的浓度梯度, 也会发生扩散, 例如氢气透过橡皮的扩散,锌与铜形成固体溶液时在铜中的扩散,以及粮食内水分的扩散等。物质在固体中的扩散系数随物质的浓度而异,且在不同方向上其数值可能有所不同,目前还不能进行计算。各种物质在固体中的扩散系数差别可以很大,如氢在25℃时在硫化橡胶中为0.85×10-9m2/s,氦在20℃时在铁中为2.6×10-13m2/s。