[拼音]:zhengtai fenbu
[外文]:normal distribution
最重要的一种概率分布。若随机变量x 取不超过实数x的值这一事件的概率为
式中μ、σ为实参数,且σ>0,则x的分布称为(一维)正态分布或高斯分布,记作 N(μ,σ2)。它是具有密度函数
的连续型分布。
正态分布最早由A.棣莫弗(1730)在求二项分布的渐近公式中得到。C.F.高斯在研究测量误差时从另一个角度导出了它。P.-S.拉普拉斯和高斯研究了它的性质。
生产与科学实验中很多随机变量的概率分布都可以近似地用正态分布来描述。例如,在生产条件不变的情况下,产品的强力、抗压强度、口径、长度等指标;同一种生物体的身长、体重等指标;同一种种子的重量;测量同一物体的误差;弹着点沿某一方向的偏差;某个地区的年降雨量;以及理想气体分子的速度分量,等等。一般来说,如果一个量是由许多微小的独立随机因素影响的结果,那么就可以认为这个量具有正态分布(见中心极限定理)。从理论上看,正态分布具有很多良好的性质,许多概率分布可以用它来近似;还有一些常用的概率分布是直接由它导出的,例如对数正态分布,t(n)分布,
2(n)分布,F(n1,n2)分布等。
正态分布N(μ,σ2)的密度函数 φ(x;μ,σ)的图像是一条位于x 轴上方的钟形曲线(图1
),它在x=μ 处达到最大值,而且关于x=μ对称;σ越小,分布越集中在x=μ附近,σ越大,分布越分散;曲线在离x=μ 较远处很快接近于0。若随机变量x遵从正态分布N(μ,σ2),则p(|x-μ|<2σ)≈95.45%,p(|x-μ|<3σ)≈99.73%;它的数学期望、方差与特征函数(见概率分布)分别是μ,
与
。
当μ=0,σ=1时,即N(0,1),称为标准正态分布,其密度函数及分布函数分别为
及
若随机变量x遵从分布N(μ,σ2),则(x-μ)/σ遵从分布N(0,1),而且
。由于有这种关系,在应用中只需对N(0,1)编造各种数值表供查。
对n维随机向量 X=(x1,x2,…,xn),其n维正态分布是以
为密度函数的连续型概率分布,记作N(
,∑)或Nn(
,∑),其中
,
是n维欧几里得空间Rn中的点,
,
′表示
的转置;|∑|和∑-1分别表示n×n正定对称矩阵
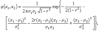
的行列式和逆矩阵。二维正态分布的密度函数通常写成如下形式(即在前式中n=2,又在
中,令
):
式中
,其图像如图2
。
的特征函数是
当∑为退化的非负定矩阵时,∑-1不存在;但根据特征函数与分布函数相互惟一确定的定理,仍可将
定义为以上述ƒ(t)为特征函数的 n维概率分布,这时它不存在密度函数,称为n维退化正态分布,它的质量集中在某个k(<n)维子空间上,k是矩阵∑的秩。由多维正态分布也可导出其他一些重要的多维分布,如维夏特分布,T2分布(见多元统计分析)等。
多维正态分布有以下的性质:设
有概率分布
,则
,k,j=1,2,…,n,∑是x的协方差阵;
的任何边缘分布仍然是正态分布;x1,x2,…,xn独立的充分必要条件是σjk=0,对一切j≠k,j,k=1,2,…,n成立;设C为任一m ×n实矩阵,则m 维随机向量
遵从正态分布
,其中C′为C 的转置;特别,遵从分布
的随机变量xj,j=1,2,…,n,若相互独立,则它们的和
遵从分布
。 n维随机向量
遵从n维正态分布的充分必要条件是它的任一线性组合都遵从正态分布。