[拼音]:kaipule dinglü
[外文]:Keplerˊs laws
德国天文学家J.开普勒提出的关于行星运动的三大定律。第一和第二定律发表于1609年,是开普勒从天文学家第谷观测火星位置所得资料中总结出来的;第三定律发表于1619年。这三大定律又分别称为椭圆定律、面积定律和调和定律。
(1)椭圆定律 所有行星绕太阳的轨道都是椭圆,太阳在椭圆的一个焦点上。
(2)面积定律 行星和太阳的连线在相等的时间间隔内扫过相等的面积。
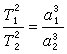
(3)调和定律 所有行星绕太阳一周的恒星时间(Ti)的平方与它们轨道长半轴(ai)的立方成正比,即
。
此后,学者们把第一定律修改成为:所有行星(和彗星)的轨道都属于圆锥曲线,而太阳则在它们的一个焦点上。第三定律只在行星质量比太阳质量小得多的情况下才是精确的。如果考虑到行星也吸引太阳,这便是一个二体问题。经过修正后的第三定律的精确公式为:
式中m1和m2为两个行星的质量;mS为太阳的质量。