[拼音]:daqi moshi
[外文]:atmospheric model
描述模式大气的闭合方程组。它能够由气象要素场的初始状态确定其未来的状态。模式大气是在不失去大气主要特征的情况下,将非常复杂的实际大气理想化和简化后的数学模型。实际大气的复杂性,既表现为从分子的个别杂乱运动到遍及整个大气圈的大范围的有规则运动,也表现为物理过程的复杂性和多样性。对于研究大气大尺度运动的短期变化来说,在数值预报发展的早期,有一种简化方法,即允许把大气视为绝热的、无粘性的干燥空气。后来,数值预报中考虑的模式大气,已从这种简单的模式发展为较复杂的非绝热大气模式了。
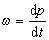
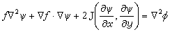
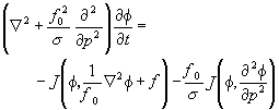
准地转模式准地转模式是假设静力平衡和地转平衡(见大气运动的平衡状态)总成立,即使遭到破坏也能立即恢复的模式。 在这种模式中, 若不考虑摩擦和非绝热加热的作用,用气压 P 作铅直坐标, 则大气运动可以用如下的涡度方程和热流量方程来描写:
这里
,是P 坐标系中的铅直速度;f为科里奥利参数,fo为某参考纬度上的f;
为静力稳定度参数;θ为位温;φ是位势高度;
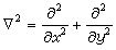
,为拉普拉斯算符;
,为雅可比算符,其中A、B 指任意物理量。准地转模式滤去了声波和重力波,并使预报问题归结为解一个预报φ场的微分方程:
此式十分简单,它使数值预报在机器容量和速度都较小的情况下得以实现。准地转模式能比较成功地预报大气运动的一些重要现象,在中高纬度地区效果更好。此模式除了不适用于低纬度地区外,预报结果还有明显的系统性偏差,如所预报的低压往往偏弱而高压偏强等。
平衡模式假设静力平衡成立,风压场之间满足平衡方程:
其中ψ为流函数。地转关系是平衡方程的一个特例。平衡模式中除包含平衡方程外,尚有涡度方程、热流量方程和连续方程。平衡模式比准地转模式复杂,它的实际效果比理论上预期的小。由于它和准地转模式都滤去了声波和重力波,平衡模式和准地转模式又称过滤模式。
静力平衡下的原始的流体力学和热力学方程组为原始方程模式(见大气动力方程)。其中,滤去了铅直声波,仍保留重力波。模式对初值、边值、计算方法等较敏感。成功的关键在于仔细的处理初值,以得到协调的场。通常要滤掉初始场的重力波,或保留高频波中的低频部分,对于以后产生的重力波,则要在计算方案中加以抑制。实践表明,原始方程模式的预报准确率比过滤模式有明显提高。主要原因是原始方程模式中考虑了天气发展的因子,如地转偏差、铅直速度等,比过滤模式考虑得更加完全,并考虑了风场和气压场之间适应的机制(见大气地转适应)。由于过滤模式受到准无辐散假定的限制,因此所求出的铅直速度总是比原始方程模式的小。此外,用原始方程模式处理各种物理过程,也比用过滤模式更简单、更直接。
大气模式可按不同用途分为数值预报模式和大气环流模式等;按大气运动铅直方向的特征又可取一个层次的正压模式(见正压大气),或多层次的斜压模式(见斜压大气)等;按预报的水平范围不同可分为全球模式和有限区域模式等;按计算方法不同可分为差分模式和谱模式等(见数值天气预报常用计算方法)。