[拼音]:pinnatong chongpai fanying
[外文]:pinacolone rearrangement
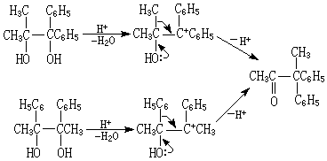
又称邻二三级醇重排。指频哪醇被硫酸转化为频哪酮的重排反应。1859年由德意志化学家R.菲蒂希发现。频哪醇是最简单的邻二三级醇。频哪酮重排是一类常见的缺电子重排。当反应物分子在反应过程中生成一个正碳离子时,其邻位碳上的烃基或氢带着键合电子对迁移到这个正碳上,新生成的正碳离子受到所连羟基上未共电子对的共轭效应而趋于稳定:
在这类重排中,烃基或氢发生迁移的动力在于羰基的形成。当结构不对称的邻二三级醇发生重排时,优先失去的羟基是从能够形成较稳定正碳离子的位置断裂下来。接着发生烃基迁移,其迁移趋势一般是芳香基比烷基容易。例如1,1-二苯基-2-甲基-1,2-丙二醇和2,3-二苯基-2,3-丁二醇经重排后主要得到相同产物:
除邻二三级醇外,许多α-卤代醇、α-氨基醇或1,2-环氧化物都有可能在一定条件下生成β-羟基正碳离子这种活性中间体,而发生重排并得到相应的羰基化合物。
在合成中利用这类重排可以制取一些很难制得的化合物,例如螺[4.5]-6-癸酮的合成: