正碳离子

带有正电荷的含碳离子,是一类重要的活性中间体,可用R3C+表示 (R为烷基)。正碳离子及其反应于20世纪20年代由C.K.英戈尔德等提出的。正碳离子可以认为是通过共价 C-C单键(见共价键)中一对电子的异裂反应而产生:

R3C:X→R3C++X-

式中X为卤素。所形成的正碳离子R3C+,带有一个正电荷,配位数为3,一般是平面结构(sp2杂化),另一空的p轨道垂直于该平面(见图)。

图

取代基 R的共轭效应诱导效应立体效应,以及烷基的超共轭效应都能对正碳离子起稳定作用。早期,人们通过冰点降低法测定离子数目,用以证明正碳离子的存在。近年来超强酸的发现,使得能够在低温下制备正碳离子的稳定络合物,从而可以研究它们的结构和性质。正碳离子通常表现十分活泼,可发生以下多种反应:

单分子亲核取代反应(SN1)

叔溴化物在极性溶剂(醇-水)中容易与水发生取代反应而生成叔醇。这类反应分两步进行,第一步是叔溴化物的C-Br键在极性溶剂中发生异裂,生成正碳离子中间体(CH3)3C+

公式 符号 公式 符号

第二步是正碳离子与H2O结合,然后失去H+而生成叔丁醇。第一步反应比第二步慢得多,是决定反应速率的主要步骤。总的取代反应速率只与溴代叔丁烷浓度的一次方成正比,故称为单分子取代反应。正碳离子上烷基的超共轭效应有利于它的稳定性,而烷基的立体效应有利于C-Br键的断裂和正碳离子的形成。

单分子消除反应(E1)

正碳离子在一定条件下,例如在碱的存在下可经历β 位上氢的消除(见消除反应)而生成烯烃。例如,氯代叔丁烷在碱(NaOH)的醇溶液中经单分子消除反应生成异丁烯。第一步是C-Cl键断裂,形成(CH3)3C+,第二步是由于碱的存在,正碳离子的β位质子与碱反应而被脱掉:

公式 符号

消除反应也是单分子反应。正碳离子可与OH结合,导致取代反应;或者β-H与OH结合而导致消除反应。取代和消除产物的比例主要取决于亲核试剂(如碱)的强度和正碳离子的立体效应。

烯烃的亲电加成

卤化氢或卤素等与烯烃发生加成反应时,中间经过正碳离子阶段。例如,溴化氢与异丁烯在极性溶剂中反应时,溴化氢中亲电的H+先进攻双键中电子密度较高的一端(1位),然后其Br-再与正碳离子结合:

公式 符号

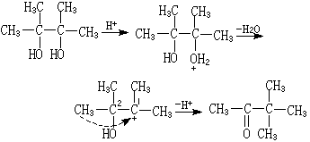
有些正碳离子可发生分子内重排反应。例如,在频哪醇的重排反应中,第二步反应是醇的脱水,形成1位正碳离子,但是由于2位甲基迁移到1位,最终生成甲基叔丁基酮:

公式 符号

正碳离子重排的方向主要取决于生成正碳离子的相对稳定性

参考书目
  1. 王积涛编:《高等有机化学》,人民教育出版社,北京,1980。