[拼音]:touru chanchu fenxi
[外文]:input output analysis
研究各种经济活动的投入与产出之间的数量依存关系,特别是国民经济各个部门之间的数量依存关系的一种方法。早在1924年苏联为了统一计划和安排全国的生产活动,曾经编制1923/1924年国民经济平衡表,其中包括各种产品生产与消耗的棋盘式平衡表,当时在方法上并未进行科学的提炼和总结。20世纪30年代,W.W.列昂季耶夫在前人工作的基础上提出了投入产出方法,并且利用美国经济统计资料编制了美国经济1919年和1929年的投入产出表。在第二次世界大战末期,这个方法得到美国政府的重视。战后,美国劳动部与空军合作,以较大人力、物力编制了美国经济1947年投入产出表。
在20世纪50年代,世界上曾经出现了编制和应用投入产出表的热潮。世界上已经有90多个国家先后编制了投入产出表。中国在1974年到1976年曾经编制了61个部门的实物型投入产出表。
投入产出分析的主要作用如下:
(1)检查现有国民经济计划方案在部门间的比例和主要产品产量方面的不平衡状况,找出缺口,提出改进方案。
(2)分析国民经济中的一些主要比例关系,如积累与消费比例,两大部类比例等。
(3)研究采取某一项重要的经济政策可能产生的影响。例如,研究当工资提高10%时,各部门商品价格上升的百分比。
(4)计算产品的完全劳动消耗,为正确制订产品价格提供科学依据。
(5)进行经济预测。例如,通过编制多部门动态模型预测未来某一时段的经济发展状况。
(6)研究一些专门的社会问题。如污染问题、收入分配问题、人口问题、就业问题等。
投入产出模型,按照分析时期的不同,可分为静态的和动态的两种。
静态投入产出模型的研究开始的较早,已经比较定型。它又可分为静态开模型、静态闭模型、静态局部闭模型三种。静态开模型的基本结构见表。
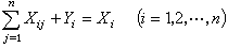
在这个模型中整个国民经济分为n个部门。xi,Yi分别表示第i个部门的总产品和最终产品的数量。xij表示第j个部门产品生产过程中所消耗的第i部门产品的数量。Dj,Vj,Mj分别表示第j个部门产品中的固定资产折旧、劳动报酬、纯收入(税金、利润、利息等)的数量。这个表从横向看,说明各部门产品按经济用途的使用情况,从纵向看,说明各部门产品的价值构成。从水平方向看,这个模型中有如下关系:
。
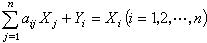
引入直接消耗系数αij,它表示第j个部门单位产品对第i个部门产品的消耗量,则上式可写为
以A表示直接消耗系数矩阵,x、Y分别表示总产品和最终产品列向量,则上式可写为Ax+Y=x。
在投入产出分析中,矩阵(I-A)-1称为完全需要系数矩阵,或列昂季耶夫逆矩阵。矩阵B=(I-A)-1-I称为完全消耗系数矩阵。完全消耗系数说明在单位最终产品的生产过程中所直接和间接消耗的各部门产品的数量之和。
在通常情况下, 上述静态模型的最终产品Y(包括居民消费、国家和集体消费、增加库存和储备、净出口等)是在模型之外确定的,即最终产品是外生变量。所以这个模型是开模型。如果把最终产品的各个组成部分如居民消费、国家消费等都作为内生变量,都作为n个部门中的一个部门看待,那么可得到一个静态闭模型,其公式为Ã塣=塣,这里Ã,塣分别为部门扩展后的直接消耗系数矩阵和总产品列向量。
静态局部闭模型是把最终产品中的一部分项目,如个人消费等作为内生变量处理。这种模型在很多情况下得到应用。
动态投入产出模型研究若干年份的社会再生产过程。其内生变量常涉及很多年份。它的种类很多,主要有列昂季耶夫动态投入产出模型、快车道动态模型、半动态投入产出模型等。列昂季耶夫动态投入产出模型的基本公式为
这里Ct表示 t年份最终净产品列向量,B表示资本系数矩阵。列昂季耶夫曾经提出,在上述线性常微分方程组中当丨I-A-λB丨=0时所得到的n个特征根中的模数最大者,将最终决定各部门生产发展速度和各部门之间的比例关系。由于上述模型的系数均为实数,特征根中的复数必成对出现,这时动态模型的解中就可能包含余弦函数项。据此,资本主义国家部分经济学家曾用以解释资本主义社会生产不断发生周期性波动的原因。上述动态模型可写为如下的差分方程形式
,进而可研究动态逆矩阵以及资本形成过程中的时滞问题。
投入产出模型按照计量单位的不同,可以分为实物型投入产出模型、价值型投入产出模型、劳动型投入产出模型和能量型投入产出模型等。
投入产出模型按照应用范围的不同,还可分为世界投入产出模型、全国性投入产出模型、地区投入产出模型、地区间投入产出模型、部门投入产出模型、企业投入产出模型等。
按照资料的性质和内容,投入产出表可以划分为报告期投入产出表和计划期投入产出表两种。前者是根据某一报告期实际数据编制,后者则为计划数据。
把投入产出模型和运筹学中其他方法如线性规划、非线性规划、动态规划、多目标规划等相结合,以编制最优化模型。研究理论上比较完善而实际上又可行的动态投入产出模型,为编制中长期计划和进行中长期预测服务。这些都是投入产出模型目前发展的方向。在方法上,有一些模型已经利用了数学上的非负元素矩阵中的一些结果以及概率统计方面的一部分成果。在编表技术上,已开始向利用电子计算机进行自动编表的方向发展。
- 参考书目
- W.Leontief, et al., Studies in the Structure of the American Economy, Oxford Univ. Press, New York, 1953.
- 陈锡康等著:《经济数学方法与模型》,修订本,中国财政经济出版社,北京,1985。