截面的几何性质

构件截面的几何性质,如静矩、形心、轴惯性矩、极惯性矩、惯性积和主惯性轴位置等,对构件承力性能产生影响,常被用于分析杆件的弯曲、扭转和剪切等问题。

静矩

又称面积矩或静面矩。截面对某个轴的静矩等于截面内各微面积乘微面积至该轴的距离在整个截面上的积分。如图1所示, 面积为A的截面对xy坐标轴的静矩分别为:

公式 符号

静矩可能为正值,也可能为负值。它的量纲是长度的三次方。静矩的力学意义是:如果截面上作用有均匀分布载荷,其值以单位面积上的量表示,则载荷对于某个轴的合力矩就等于分布载荷乘以截面对该轴的静矩。静矩是求截面形心和计算截面内各点剪应力的必要数据。

图 形心

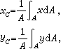
又称面积中心或面积重心,是截面上具有如下性质的点:截面对通过此点任一个轴的静矩等于零。如果将截面看成一均质等厚板,则截面的形心就是板面的重心。形心坐标xCyC的计算公式为:

公式 符号

式中A为截面面积。如果截面有一个对称轴,则形心必在对称轴上;如截面有两个对称轴,则形心就是两个对称轴的交点。由 n个截面组成的组合截面的形心可由下列公式求得:

公式 符号

式中Ai为第i个截面的面积;xCiyCi为该截面形心的坐标。形心的力学意义是:如果截面上作用有均匀分布的载荷,则合力作用点就是形心。

轴惯性矩

反映截面抗弯特性的一个量,简称惯性矩。截面对某个轴的轴惯性矩等于截面上各微面积乘微面积到轴的距离的平方在整个截面上的积分。图1所示的面积为A的截面对xy 轴的轴惯性矩分别为:

公式 符号

轴惯性矩恒为正值,量纲为长度的四次方。构件的抗弯能力和轴惯性矩成正比。一些典型截面的轴惯性矩可从专业手册中查到,如平行四边形对中线的轴惯性矩为:

公式 符号

其中b为平行四边形底边宽度,h为高。如果轴作平行移动,例如由x1平移到x2,则移动前后的轴惯性矩Ix1Ix2之间关系为:

Ix2Ix1+(b2-a2)A,式中ab分别为形心至x1x2轴的距离;A为截面面积。这个公式叫作轴惯性矩移轴公式。组合截面对某个轴的轴惯性矩,等于各个部分截面对该轴的轴惯性矩之和。

图 极惯性矩

反映截面抗扭特性的一个量。截面对某个点的极惯性矩等于截面上各微面积乘微面积到该点距离的平方在整个截面上的积分。如图2所示面积为A的截面对某点O的极惯性矩为:

公式 符号

极惯性矩恒为正值,量纲是长度的四次方。构件的抗扭能力和极惯性矩成正比。圆形截面对其圆心的极惯性矩为:

公式 符号

其中d为圆的直径。 截面对形心以外任一点的极惯性矩为:

IρIρ0+r2A

式中r 为所取点到形心的距离。因ρ2x2+y2,故IρIx+Iy,即截面对任一点的极惯性矩等于它对过此点两个正交坐标轴的轴惯性矩之和。计算轴在扭矩作用下的应力和变形时,常用到极惯性矩。

图2 惯性积

截面对于两个正交坐标轴的惯性积等于截面上各个微面积乘微面积到两个坐标轴的距离在整个截面上的积分。 面积为A的截面对两个正交坐标轴xy的惯性积为:

公式 符号

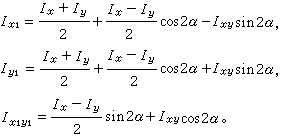
惯性积的量纲是长度的四次方。 截面位于坐标系的一、三象限,Ixy为正,位于二、四象限则为负。若两个坐标轴中有一个(或两个)是截面的对称轴,则截面对此坐标系的惯性积为零。如坐标轴绕原点都转过角度α,则截面对新坐标系的惯性矩Ix1Iy1和惯性积 I公式 符号同原惯性矩IxIy和惯性积Ixy之间的关系为:

公式 符号

这些公式称为惯性矩和惯性积转轴公式。

主惯性轴

使截面惯性积为零的一对正交坐标轴称为截面的主惯性轴,简称主轴。截面对主惯性轴的惯性矩称为主惯性矩。如果两个主惯性轴的交点是形心,则此两轴称为形心主惯性轴(或主形心惯性轴)。截面对它们的惯性矩称为形心主惯性矩(或主形心惯性矩)。如果截面有一个对称轴,则此对称轴是一个主惯性轴,另一个主惯性轴同它相垂直。已知一个截面对一对坐标轴(x 轴和y轴)的惯性矩IxIy和惯性积Ixy后,可按下式确定主惯性轴同x 轴之间的夹角α

公式 符号

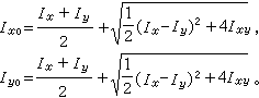
截面的主惯性矩Ix0Iy0也可由IxIyIxy求得,即

公式 符号

在过截面上一个定点所有轴的轴惯性矩中,一个主惯性矩最大,另一个主惯性矩最小。任何一对正交轴的轴惯性矩之和为一常数,并等于两个主惯性矩的和,即

Ix1+Iy1Ix2+Iy2=…=Ix0+Iy0=常数。