[拼音]:Maikesiwei-Bo’erziman fenbulü
[外文]:Maxwell-Boltzmann distribution law
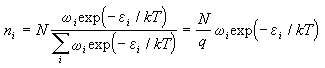
全同粒子在平衡态的统计分布律。独立的定域子体系和经典极限的离域子体系中,在平衡态下N个全同粒子分布在其单粒子任一可及能级εi(i=1,2,3,…,为单粒子能级的标号)上最可几粒子数ni由下式确定:
这就是著名的麦克斯韦-玻耳兹曼分布律,式中ωi为能级εi的简并度;k为玻耳兹曼常数;T为热力学温度;q为单粒子配分函数:
exp(-εi/kT)称为玻耳兹曼因子,它的大小取决于有关运动形态的能级εi与kT的比值。
麦克斯韦-玻尔兹曼分布律可以有各种表达形式。例如,粒子在能级εi上的最可几分布率为:
还可以表达成下列连等式:
它表明:根据麦克斯韦-玻耳兹曼分布,各能级上每个粒子平均具有的有效量子态数彼此相等,而且都等于体系中每个粒子平均具有的单粒子有效量子态数 q/N。这一表述可称为粒子在能级间的统计平衡条件,它给出了平衡态的一种统计描述。