[拼音]:weifen jihexue
[外文]:differential geometry
数学的一个分支学科,它主要是以分析方法来研究空间(微分流形)的几何性质。
初始阶段
古典的局部微分几何是研究三维欧氏空间E3的曲线和曲面在一点邻近的性质,它的发展与分析学的发展有着不可分割的联系。微分几何起源于17世纪发现微积分之时,函数与函数的导数的概念实质上等同于曲线与曲线的切线的斜率,函数的积分在几何上则可解释为一曲线下的面积。当时,平面曲线、空间曲线及曲面的几何也可作为微积分的应用来了解。
在这方面第一个作出贡献的是瑞士数学家L.欧拉。1736年他首先引进了平面曲线的内在坐标这一概念,即以曲线弧长这一几何量作为曲线上点的坐标,从而开始了曲线的内在几何的研究。欧拉将曲率描述为曲线的切线方向和一固定方向的交角相对于弧长的变化率。在曲面论方面,他有重要的贡献,例如引进了曲面上的法曲率、总曲率、关于法曲率的欧拉公式及球面映射等。测地线是平面上的直线在曲面上的推广,欧拉和约翰第一·伯努利及丹尼尔第一 ·伯努利一起最早地把测地线描述为某些微分方程的解。1736年,欧拉证明了在无外力作用之下,一个质点如约束在一曲面上运动,则它必定是沿测地线运动。另外,值得指出的是法国数学家G.蒙日及其学派,他们对曲面论的建立也很有贡献,蒙日在1807年出版的书《分析学在几何中的应用》是关于曲线和曲面理论的第一部独立的著作。他的工作中反映出他对微分方程的兴趣。在这些数学家的研究中,可以看到力学、物理学与天文学以及技术与工业的日益增长的要求是促使微分几何发展的因素。
1847年弗雷内得出了曲线的基本微分方程,亦即通称的弗雷内公式。后来,(J.-)G.达布创造了空间曲线的活动标架概念,完整地建立起曲线理论。
黎曼几何学的提出
在三维欧氏空间E3中,与曲线相比,曲面有着重要得多的性质。设x1,x2,x3为E3的笛氏坐标,则曲面S的参数方程为
(1)
曲面S的几何性质完全由被称为曲面的第一、第二基本形式(见曲面)的两个二次微分形式所决定。
1827年德国数学家C.F.高斯的论文《弯曲曲面的一般研究》在微分几何学的历史上有重大的意义。微分几何发展经历了150年之后,高斯抓住了微分几何中最重要的概念和带有根本性的内容,他在论文中建立了曲面的内在几何学,其主要思想是强调了曲面上只依赖于第一基本形式的一些性质,例如曲面上曲线的长度、两条曲线的夹角、曲面上一区域的面积、测地线、测地曲率和总曲率等等,称之为曲面的内在性质。
高斯之前的几何学家,在研究曲面时总是把曲面与外围空间E3相联系,找出曲面上一点的主方向,再计算两曲率线的法曲率的乘积,这是欧拉的研究。高斯证明了由曲面的第一基本形式就确定了曲面的总曲率,这就是高斯方程,所以总曲率通常也称为高斯曲率,这是高斯的著名发现,被称为“极妙定理”。他说:“如果一个弯曲的曲面可展开到任何另外的曲面上去,则每点的曲率是保持不变的。”这里,“可展”表示了映射是1-1(一一)且保持距离的。高斯建立的内在几何学有着深远的影响,是在微分几何上的一关键而重大的突破,但当时并未被人们所认识。
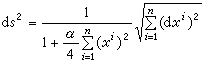
更重要的发展属于德国数学家(G.F.)B.黎曼。1854年他在格丁根大学发表了题为《论作为几何学基础的假设》的就职演讲,黎曼将曲面本身看成一个独立的几何实体,而不是把它仅仅看作欧氏空间中的一个几何实体。他发展了空间的概念,首先提出了n维流形(当时称为多重广延量)的概念,其中的点用n个实数(x1,x2,…,xn)作为坐标来描述,他定义了流形上无限邻近两点(xi)与(xi+dxi)(i=1,2,…,n)的距离
, (2)
并以此作为几何学的出发点。后来称(2)为黎曼度量,这里(gij)是正定对称阵。黎曼认识到度量(2)是加到流形上去的一个结构,因此,同一流形可以有众多的黎曼度量。黎曼以前的几何学家只知道外围空间E3的度量赋予曲面S以诱导度量
, (3)
即第一基本形式,而并未认识到曲面S还可以独立于E3而定义,可以独立地赋予度量结构。黎曼意识到这件事是非凡的重要,他把诱导度量与独立的黎曼度量两者分开来,从而开创了以(2)为出发点的黎曼几何。这种几何以种种非欧几何作为其特例。例如,这时可以把
(α 是常数) (4)
作为两个无限邻近点的距离,当α>0时,就是球面几何或椭圆几何(又称为正常曲率空间的几何),α=0时就是欧氏几何,α<0时就是罗巴切夫斯基几何或双曲几何,又称负常曲率空间的几何。
黎曼几何中的一个基本问题是微分形式的等价性问题。在两个不同坐标系x1,x2,…,xn与x1',x2',…,xn' 中,给定两个二次微分形式
与
,
求存在坐标变换
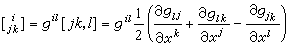
(i=1,2,…,n)将一个微分形式变到另一个的条件,这个问题1869年由E.B.克里斯托费尔与R.(O.S.)李普希茨解决。克里斯托费尔的解包含了以他的名字定名的记号,即第一类克里斯托费尔记号[jk,l]和第二类克里斯托费尔记号[
]:
, (5)
及协变微分(见黎曼几何学)的概念。在此基础上,1887~1896年间G.里奇发展了张量分析方法,这在广义相对论中起了基本的作用。里奇和他的学生T.列维-齐维塔在研究报告《绝对微分法及其应用》(1901)中对里奇计算法作了详细的综述。
《埃尔朗根纲领》对微分几何的影响
比克里斯托费尔、李普希茨解决二次微分形式的相互转换问题稍迟一些,1872年(C.)F.克莱因在德国埃尔朗根大学作就职演讲时,阐述了《埃尔朗根纲领》,这就是把几何学定义为研究变换群所作用的空间,例如欧氏空间具有刚体运动群,所研究的对象是在刚体运动群下不变的性质。射影空间具有射影变换群,仿射空间与共形空间分别具有仿射变换群与共形变换群等等。这样就用变换群对已有的几何学进行了分类。这些几何学中所研究的对象是在相应变换群下不变的性质。这种用群论统一几何学的思想把几何学与李群结合起来了。在《埃尔朗根纲领》发表后的半个世纪内,它成了几何学的指导原理,推动了几何学的发展,导致了射影微分几何、仿射微分几何、共形微分几何的建立。特别是射影微分几何起始于1878年阿尔方的学位论文,后来1906年起为E.J.威尔辛斯基为代表的美国学派所发展,1916年起为以G.富比尼为首的意大利学派所发展。20世纪30年代起中国苏步青及其学生们以及苏联С.∏.菲尼科夫等进一步发展了射影微分几何。
另一方面,克莱因的《埃尔朗根纲领》与狭义相对论完美地相配合,狭义相对论中的一个原理是洛伦茨群下场方程的不变性,这导致了克莱因成为狭义相对论的最早支持者之一。洛伦茨结构在相对论中起了基本的作用。
当克莱因制定《埃尔朗根纲领》时,已观察到黎曼几何并不包括在内,因为一般的黎曼空间,除恒等变换外,并不含有其他等长变换。经过W.K.J.基灵,É.(-J.)嘉当的努力,使得李群成为微分几何的有力工具,而李群本身也成为微分几何的研究对象,它的推广就是齐性流形即容有可迁变换群的微分流形,这就给出了埃尔朗根纲领中所设想的几何空间的最一般形式。在齐性流形中,具有正定黎曼度量的齐性黎曼流形,特别是对称空间,显得特别重要。
广义相对论的产生及其对几何学的影响
黎曼几何的建立对近代物理学产生了巨大的影响。黎曼对引力论很有兴趣,曾对牛顿的引力论发生怀疑,牛顿的引力是一种超距作用,而黎曼认为引力作用应通过接触来传递,但他并没有把黎曼几何用于引力论。50年后,爱因斯坦创立了新的引力理论──广义相对论,黎曼几何(严格地说是洛伦茨几何,这时(2)中所定义的ds2是非正定的二次微分形式)及其运算方法(里奇计算法)成为广义相对论有效的数学工具。爱因斯坦引进了约定求和这一很有用的符号。广义相对论的产生对微分几何的影响是令人震动的。当时黎曼几何成为研究的中心课题,斯考顿、列维-齐维塔、É.嘉当及艾森哈特等人的关于黎曼几何的权威著作几乎都出现在1924~1926年期间。
爱因斯坦在狭义相对论中,把时间与空间作为相关的量一起来考虑,构成了一个四重广延量,这显示了时空概念的一个根本性变化。这时,时空中两点(xi),(xi+dxi)(i=1,2,3,4)的距离由非正定的二次形式
(6)
所描述,其中x4=сt,с是光速,t是时间。这种具体形式是闵科夫斯基空间,或称闵科夫斯基四维时空,简称四维时空,它是洛伦茨流形中的一个特例。
广义相对论采用的是洛伦茨流形,这时ds2是非正定的,它的特点是在任何一点的小邻域中和闵科夫斯基时空性质相近似。引力论的基本问题是要说明质点在引力作用下的运动轨线问题,在广义相对论中运动轨线为流形上类时(即“弧长”平方为负)的测地线,类时意味着质点的速度低于光速,测地线是变分
(7)
所得微分方程的解。
爱因斯坦的引力场方程是一个关于gij的二阶偏微分方程
(8)
式中Rij 称为里奇张量,是由gij的一、二阶导数构成的;
,其中
由
所确定;Tij是描述物质分布的能量动量张量。特别,真空中的引力场方程由Rij=0所表述。如果弯曲空间化为平直空间,则表示引力场不存在,这时质点作匀速运动。
爱因斯坦的广义相对论的思想来自物理学的研究,但值得注意的是从欧几里得几何学到黎曼几何学经历了二千多年时间,而从闵科夫斯基时空到洛伦茨流形只经过十年时间,这是因为黎曼几何学的张量分析已为此作了一切数学上的准备。爱因斯坦在建立广义相对论的过程中得益于数学家M.格罗斯曼,在发展广义相对论过程中他和É.嘉当进行了许多的讨论,D.希尔伯特也参加建立场方程的研究。
把黎曼几何应用于广义相对论时,列维-齐维塔平行移动的概念具有相当的重要性。(C.H.)H.外尔在1918年的名著《时间,空间,物质》中引进了仿射联络的概念,它是黎曼流形中列维-齐维塔平行移动的推广。在流形上可以用仿射联络作为出发点来定义平行移动和协变微分等结构,这样,仿射联络就不必从黎曼结构来得出。外尔所给出的联络是无挠率的(即对称的)。流形上定义了仿射联络,就得到仿射联络流形。
É.嘉当在他的主要论文《仿射联络流形及广义相对论理论》(1923~1924)中给出仿射联络的权威性论述,并将仿射联络这一概念推广到有挠率的情况。文中主要说明为什么爱因斯坦引力论是牛顿引力论的推广,后来他更进一步建立了各种联络理论,例如射影联络、共形联络等。
黎曼几何还有另外的推广,P.芬斯勒以一般的

出发建立了一种度量的几何学,F只是dxj的正齐二次函数而不必要求它为二次型,也就是说gij除依赖于x之外,还是dx的正齐0次函数。对这种空间也引进了联络、曲率等等概念,从而得到芬斯勒几何。随后,还有很多的推广,得到的空间通称为一般空间。
曲线和曲面的整体性质
在古典的曲线论和曲面论中,人们所研究的问题已可分为两种类型:局部问题与整体问题。曲线或曲面在一点充分小邻近成立的性质是局部性质。例如,曲线在一点的切线、法平面、曲率、挠率,曲面的切平面、法线以及各种曲率的概念都是局部性质。整体性质则是考虑整个曲线或曲面上的性质,它与局部性质所得出的定理时常是极不相同的。例如,平面凸闭曲线成立四顶点定理,即它的曲率至少有四个极值点。又如,对任何曲面,局部来说,两邻近点之间有且仅有惟一的测地线弧相连结,但从整体来说,这个问题就相当复杂。例如,欧氏空间的测地线是直线,任意两点之间有且只有一条直线段相连结,球面上的测地线是大圆弧,球面上任意两点A、B(如果不是对顶点),可有两条测地线弧(优弧与劣弧)相连结,A、B是对顶点时,它们之间则有无限条测地线弧相连结。如果考虑闭测地线,则可看到欧氏空间没有闭测地线,而球面上任何测地线(即大圆)都是闭的。至于一般曲面有可能存在闭测地线,也有可能不存在闭测地线,可有许多情况,讨论闭测地线的存在性就是一个整体性质。
又如,欧氏空间的曲面由第一、第二基本形式所决定。如果两个曲面小片S1,S2,它们的第一基本形式相同,第二基本形式不同,则称S1与S2是互为变形的。三维欧氏空间的一小曲面片总有无穷个曲面与它相变形,然而这个性质整体上是不成立的,例如球面以及一般的凸闭曲面不存在与之变形的曲面,这称为球面的刚性定理及凸闭曲面的刚性定理。讨论小曲面片的变形问题是局部性质,讨论曲面的变形问题则是整体性质。曲面上测地线弧的指标(它表示测地线弧的两端固定时,使其长度得到缩短的变形的维数)是一个整体的不变量。
曲面的整体性质的一个重要结果是高斯-博内定理,它指明,在闭曲面S上,总曲率K的积分
除以2π就是曲面的欧拉数
。
等于1减去曲面上洞的个数,是个拓扑不变量,因而这个定理建立了曲面的微分几何量与曲面的拓扑量之间的重要联系。
此外,希尔伯特还发现,双曲平面(二维的双曲几何)不能在三维欧氏空间中完整地实现,尽管它在三维欧氏空间中局部地实现对于双曲几何(即罗巴切夫斯基几何)的被承认起了重大的作用。
曲面和曲线的整体性质的研究激起了人们对整体微分几何的巨大兴趣。
整体微分几何的兴起
现代微分几何学所研究的对象是微分流形,其上还配有附加的结构。例如,微分流形上引进黎曼度量、洛伦茨度量、辛尺度这些结构后,就分别成为黎曼流形、洛伦茨流形和辛流形,相应地也就丰富了几何内容。
外微分形式、德·拉姆定理与霍奇定理微分流形上的外微分形式是一个微分几何量,对它可进行外微分运算,这在几何上十分重要(见外微分形式)。外微分形式实际上是多重积分的积分元。一个外微分形式的外微分如等于零,则称它为闭形式,微分流形上r次闭形式全体构成一个线性空间。一个r次外微分形式如果是另一个(r-1)次外微分形式的外微分,则称之为正合形式。正合形式是闭形式,它所构成的线性空间是闭形式所构成的线性空间的子空间。闭形式可以划分为一些类,称为上同调类,两个r次闭形式当且仅当它们之差是一个正合形式时属于同一个上同调类。这些上同调类全体构成一个线性空间──上同调空间 Hr。以瑞士数学家德·拉姆而命名的著名定理说明:对于紧致流形, 上同调类空间Hr必是有限维的,并且维数恰等于微分流形上第r个贝蒂数。贝蒂数是流形的拓扑不变量,它描述流形上有关连通的性质。在流形上引进了黎曼度量后,霍奇引进了调和形式的概念,并证明了著名的霍奇定理:在一个定向、紧致黎曼流形上,每一上同调类中有惟一的调和形式。这个定理是复变函数理论中紧致黎曼面的一些基本结果的一个重大的推广,它在代数几何中有重要作用。这两个定理提供了流形上局部性质与整体性质的联系,建立了流形上微分结构、拓扑结构及黎曼结构的深刻的制约关系,具有十分重要的意义。
黎曼流形的完备性在黎曼流形的研究中,完备性是一个很重要的概念。在黎曼流形上,两点之间可以定义距离,因而可成为一个度量空间,这个度量空间在拓扑意义下的完备与任一测地线均可无限延伸(依弧长或仿射参数)这一性质相等价,从而形成了完备黎曼流形的概念。特别,紧致黎曼流形是完备的黎曼流形。霍普夫与里诺给出了下述结果:完备黎曼流形上每二点均可用一极小测地线相连结,其长度就等于二点的距离。
引进了完备性这一概念后,也推进了对三维欧氏空间曲面论的整体性质的研究。例如:对于曲率为常数的曲面的完备性的研究有:1959年P.哈特曼与L.尼伦伯格证明了完备的可展曲面必为柱面,迈尔斯与李卜曼证明了正常数曲率定向的完备曲面必为球面。
完备性概念对非紧致黎曼流形的整体几何研究是十分重要的。
曲率与拓扑黎曼流形的曲率是微分几何中最重要的几何量之一,曲率和流形的拓扑结构之间的联系是一个十分重要的问题。美国数学家C.B.艾伦多弗和法国数学家A.韦伊与陈省身用不同的方法将紧致曲面上的高斯-博内公式扩充到高维曲面和紧致黎曼流形上去,这是微分几何上很重大的一项进展。另外,J.(-S.)阿达马和É.嘉当发现:单连通的、曲率非正的完备黎曼流形必同胚于欧氏空间Rn。这也是极富有启发性的成果。
对于黎曼流形来说,有三种不同层次的曲率,一种是截面曲率,它相应于在每点某一平面方向所相应的曲率。另一种是里奇曲率,它是由截面曲率以适当的形式作和而成。第三种是数量曲率,它是里奇曲率的迹。这三种曲率和流形的拓扑性质之间有很强的相互制约作用,这方面的研究成果非常丰富,而且是微分几何主要研究方向之一。
等距嵌入嵌入问题是指一个具有某种结构的流形是否可以作为高维欧氏空间的子流形的问题。当只涉及微分结构时,惠特尼在1936年证明了每一个n维的微分流形均可以嵌入到一个2n+1维的欧氏空间中,美国另一数学家C.B.莫利证明了对紧致的实解析流形这个结果也成立。
等距嵌入是研究一黎曼流形是否能与高维欧氏空间的子流形成等距对应的问题。对于局部的等距嵌入,瑞士数学家L.施勒夫利很早就作了下述预测:n维的黎曼流形总可等距嵌入到
维欧氏空间中去。1926年法国数学家H.约尼和É.嘉当在黎曼流形上添上解析这一条件时证明了这个预测。因此,作为特例,一个二维的解析黎曼度量总可局部地作为三维欧氏空间中某个曲面的第一基本形式。当流形非解析时,情况相当复杂,至今还是一个研究课题,当曲率K在曲面上变号时,任一个二维黎曼流形是否可局部地等距嵌入到三维欧氏空间,已经有若干结果。
黎曼流形的整体等距嵌入定理于1954~1956年由J.纳许等所给出:n 维黎曼流形总可等距嵌入到欧氏空间E
,如流形为紧致时,则可嵌入到E
;如果只考虑C1等距嵌入,则n维黎曼流形可嵌入于E
;如果M紧致则可嵌入到E
。纳许的方法后来对非线性分析和非线性偏微分方程的求解产生了重要影响。
在整体微分几何发展中,纤维丛及其上的联络论的产生和发展,占有显著的地位。基本的纤维丛有向量丛和主丛,前者包括切丛、余切丛、张量丛及一般性的推广,后者是由标架丛抽象而成。在黎曼几何研究中所产生的列维-齐维塔联络被推广为仿射联络、射影联络、共形联络、……然后形成了一般向量丛或纤维丛上的联络论,它以优美的形式把几何学的群的结构和流形上的微分结构有机地结合起来,陈省身-外尔映射用代数的方法通过联络和曲率作出了底流形上的一些上同调类,这种上同调类称为示性类包括陈示性类,欧拉示性类,庞特里亚金示性类等,它们都能表示纤维丛的拓扑性质。
纤维丛上的联络论成为理论物理学家的有力工具,杨振宁和米尔斯所提出的规范场理论是在物理学中形成的纤维丛上的联络论,不仅如此,他们对纤维丛上的联络提出了一个过去数学家没有想到过的偏微分方程(后称为杨-米尔斯方程),这个方程不仅对物理学,而且对纯粹数学发生了重大影响。此外,联络论中的一些示性类和示性数,也得到了物理学上的解释,成为物理学中的各种“粒子”数,如“磁单极”数、瞬子数等等。由于这些事实,微分几何和理论物理的关系就更其密切了,可以说是在爱因斯坦广义相对论后的一个新的高潮。
微分几何和分析学新的结合
微分几何的研究与发展离不开微分方程,达布的《曲面论》一书就包含了丰富的古典微分方程的内容。É.嘉当和凯勒所发展的外微分方程理论,对于解析函数领域的一大类局部微分几何问题,给出了一般的有效的方法。
整体微分几何的发展,需要运用更深入的,现代化的分析工具,特别是偏微分方程理论以及与之有关的非线性分析。
在线性理论中,一个突出的成果是阿蒂亚和辛格的指标定理,紧致微分流形上的一个线性椭圆算子的零空间的维数与象空间的维数都是有限数,其差称为指标,这个定理指出,这种指标可以表示为和流形(或纤维丛)及椭圆算子有关的拓扑不变量,而过去的黎曼-罗赫定理,希策布鲁赫的指标定理等都是它的特殊情形。这个定理对于确定杨-米尔斯方程的解的存在性和其自由度,起了重要作用。此外,流形上的拉普拉斯算子的特征值的研究也是一个重要方面。
微分几何学所遇到的偏微分方程大多是非线性的,调和函数的概念被推广成黎曼流形间的调和映射,它联系于一个推广的狄利克雷积分的变分问题,其欧拉方程是非线性的椭圆型方程组,J.伊尔斯等人用了多种分析的技巧证明了各种存在性和不存在性定理,近年来,R.舍恩和K.K.乌伦贝克又对广义解的奇性作了深入的分析。极小曲面理论近年来得到更深入的发展,研究范围日趋广泛,而且对流形的拓扑以及广义相对论中的数学问题均有重要应用。在调和映射、极小曲面,以及其他许多微分几何问题上,大范围变分方法成了重要工具,非线性泛函的极小元素或临界元素的正则性和存在性起了很大作用。如果考虑洛伦茨流形到黎曼流形的调和映射,就归结为双曲型偏微分方程的整体解的存在性问题,这方面成果国际上较少,谷超豪证明了闵科夫斯基平面到完备黎曼流形的调和映射的柯西问题的整体存在性定理,某些调和映射在物理学中称为非线性σ模型,是物理学家独立地提出的。
有些微分几何学问题还必须求解“真正”非线性偏微分方程,这是比拟线性方程的非线性程度更高的偏微分方程,其难度更大,突出的事项是丘成桐解决了由卡拉皮所提出的一个猜想,证明了某种爱因斯坦-凯勒流形的存在定理,这需要求解复的蒙日-安培方程,它的非线性程度更高,需要有高度的分析技巧。丘成桐还解决了一系列的其他的与非线性偏微分方程有关的几何问题。
具有复结构的微分流形特别是凯勒流形在多元复变函数和代数几何中起着重要的作用。