泊松方程和拉普拉斯方程

势函数的一种二阶偏微分方程。广泛应用于电学、磁学、力学、热学等多种热场的研究与计算。

简史

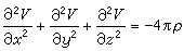
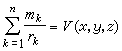
1777年,J.L.拉格朗日研究万有引力作用下的物体运动时指出:在引力体系中,每一质点的质量mk除以它们到任意观察点P的距离rk,并且把这些商加在一起,其总和即P点的势函数,势函数对空间坐标的偏导数正比于在 P点的质点所受总引力的相应分力。1782年,P.S.M.普拉斯证明:引力场的势函数满足偏微分方程,叫做势方程,后来通称拉普拉斯方程。1813年,S.-D.泊松撰文指出,如果观察点P在充满引力物质的区域内部,则拉普拉斯方程应修改为,叫做泊松方程,式中ρ为引力物质的密度。文中要求重视势函数 V在电学理论中的应用,并指出导体表面为等热面。

静电场的泊松方程和拉普拉斯方程

若空间分区充满各向同性、线性、均匀的媒质,则从静电场强与电势梯度的关系E=-墷V高斯定理微分式,即可导出静电场的泊松方程:

式中ρ为自由电荷密度,纯数 εr为各分区媒质的相对介电常数,真空介电常数εo=8.854×10-12法/米。在没有自由电荷的区域里,ρ=0,泊松方程就简化为拉普拉斯方程

在各分区的公共界面上,V满足边值关系

式中ij指分界面两边的不同分区,σ 为界面上的自由电荷密度,n表示边界面上的内法线方向。

边界条件和解的唯一性

为了在给定区域内确定满足泊松方程以及边值关系的解,还需给定求解区域边界上的物理情况,此情况叫做边界条件。有两类基本的边界条件:给定边界面上各点的电势,叫做狄利克雷边界条件;给定边界面上各点的自由电荷,叫做诺埃曼边界条件。

边界几何形状较简单区域的静电场可求得解析解,许多情形下它们是无穷级数,稍复杂的须用计算机求数值解,或用图解法作等势面或力线的场图。

除了静电场之外,在电学、磁学、力学、热学等领域还有许多服从拉普拉斯方程的势场。各类物理本质完全不同的势场如果具有相似的边界条件,则因拉普拉斯方程解的唯一性,任何一个势场的解,或该势场模型中实验测绘的等热面或流线图,经过对应物理量的换算之后,可以通用于其他的势场。

静磁场的泊松方程和拉普拉斯方程

在SI制中,静磁场满足的方程为

式中j为传导电流密度。第一式表明静磁场可引入磁矢势r)描述:

在各向同性、线性、均匀的磁媒质中,传导电流密度j0的区域里,磁矢势满足的方程为

选用库仑规范,墷·r)=0,则得磁矢势r)满足泊松方程

式中纯数μr 为媒质的相对磁导率, 真空磁导率μo=1.257×10-6亨/米。在传导电流密度j=0的区域里,上式简化为拉普拉斯方程

静磁场的泊松方程和拉普拉斯方程是矢量方程,它的三个直角分量满足的方程与静电势满足的方程有相同的形式。对比静电势的解,可得矢势方程的解。

参考书目
  1. 郭硕鸿著:《电动力学》,人民教育出版社,北京,1979。
  2. J.D.杰克逊著,朱培豫译:《经典电动力学》下册,人民教育出版社,北京,1980。(J.D. Jackson,Classical Electrodynamics,John Wilye & Sons,New York,1976.)