[拼音]:jingti X shexian yanshe
[外文]:X-ray diffraction by crystals
X 射线通过晶体时产生强度随方向而变的散射效应,其强度变化是由于次生电磁波互相叠加和干涉而造成的。
简史德国物理学家 M.von劳厄于1912年发现上述现象,他设想,如能找到一种波长为 10-8厘米的电磁波,让它通过晶体,必能发生衍射现象,能提供晶体内原子排布的信息。那时曾有些人为验证 X射线是电磁波而采用普通光栅作衍射实验而屡遭失败。由此劳厄想到,X射线是一种波长比可见光短得多的电磁波,它可能是晶体衍射的合适射线。通过实验,劳埃和助手们证实了他们的设想,他因此获得1914年的诺贝尔物理学奖。
散射X射线是一种波长很短(约为10-8厘米)的电磁波,当它作用到物质上时,使物质的原子中的电子在其电磁场的作用下发生振动,而这些周期振动的电子随即向周围空间发出电磁波,即次生X射线,从而引起散射。原子序数大的原子具有较多的电子,其散射能力较强。原子散射能力的大小与散射方向有关,在入射线的方向上,原子的散射能力最强,随着角度的增大,逐渐减弱。通常,一种原子的散射能力用原子散射因子f表示。X射线衍射的原子散射因子fX与原子序数Z 成正比, 散射强度则与Z2成正比。
反常散射在一般情况下,入射的X射线的频率高于原子的吸收边(见X射线荧光光谱分析法),电子在原子中的束缚能比X射线光子的能量小,这时的电子可看成自由电子,由此产生的散射称正常散射,原子散射因子用f0表示。若考虑原子中的电子实际上是受束缚的,则其散射能力应有校正而需要考虑反常散射效应,其相应原子散射因子可用下式表示:
式中Δf′和Δf″分别为反常散射的实数和虚数校正项,其数值与所用 X射线的波长有关。当原子的某一个吸收边与入射X射线的波长相近时,Δf′和Δf″的数值最大。反常散射可用于测定分子的绝对构型,现在已发展成为晶体结构分析的重要方法之一。
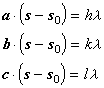
劳厄方程劳厄提出的描述晶体X射线衍射的基本条件的一组方程式,常用于晶体结构的研究中。劳厄方程的向量表达式如下:
式中a、b、c为决定三维点阵结构的三个基本向量,s0和s分别为入射线和衍射线方向的单位向量,h、k、l是三个正整数,通常称衍射指数。λ是X射线的波长。劳厄方程也可用标量的形式表达:
式中α0、β0、γ0和α、β、γ分别为入射线及衍射线与晶胞的三根轴a、b、c的夹角。
布喇格方程英国物理学家W.L.布喇格于1913年提出的一个比较直观的 X射线衍射方程式。布喇格把晶体的点阵结构看成许许多多相互平行的“面网”(简称晶面)。由相邻两个面网所反射的X射线,只有当其光程差是 X射线波长的整倍数时才互相增强。由附图
可以看出,相邻两个面网所反射的X射线,其光程差为:
式中d为相邻两个面网的距离;θ为入射线或反射线与晶面的交角。因此,衍射的必要条件是:
式中n为1,2,3,…等正整数。此式就是著名的布喇格方程。布喇格方程与劳厄方程尽管表达的方式不同,但其基本原理的实质是相同的。
- 参考书目
- W. L. Bragg,The Development of X-Ray Analysis,Bell, London, 1975.