[Æ´Òô]£ºjingti jiegou fenxi
[ÍâÎÄ]£ºcrystal structure analysis
¾§ÌåѧÖеÄÒ»¸öÖØÒªµÄÁìÓò£¬ËüÑо¿¾§Ì¬ÎïÖÊÄÚ²¿ÔÚÔ×ӳ߶ÈϵÄ΢¹Û½á¹¹¡£ËüΪ¹ÌÌåÎïÀíѧ¡¢²ÄÁÏ¿ÆÑ§¡¢½á¹¹»¯Ñ§¡¢·Ö×ÓÉúÎïѧ¡¢¿óÎïѧ¡¢Ò½Ò©Ñ§µÈÐí¶àѧ¿ÆµÄ»ù´¡Ñо¿ºÍÓ¦ÓÃÑо¿Ìṩ±Ø²»¿ÉÉÙµÄʵÑé×ÊÁÏ£¬Ê¹ÈËÃÇÓпÉÄÜ´Ó·Ö×Ó¡¢Ô×ÓÒÔ¼°µç×Ó·Ö²¼µÄˮƽÉÏÈ¥Àí½âÓйØÎïÖʵÄÐÐΪ¹æÂÉ¡£
°´ËùÓÃÊÔÑùµÄ²»Í¬£¬¾§Ìå½á¹¹·ÖÎöÓжྦྷÌå·ÖÎöºÍµ¥¾§Ìå·ÖÎöÁ½Àࣻ°´ËùÓÃÊֶεIJîÒ죬¾§Ìå½á¹¹·ÖÎöÓÖÓÐX ÉäÏßÑÜÉä·ÖÎö¡¢µç×ÓÑÜÉäºÍµç×ÓÏÔ΢·ÖÎö¡¢ÖÐ×ÓÑÜÉä·ÖÎöÈýÖÖ¡£
µ¥¾§Ìå XÉäÏßÑÜÉä·ÖÎöÊǾ§Ìå½á¹¹·ÖÎöÖбȽϳÉÊìµÄÒ»ÖÖ¡£ËüÒѾ½¨Á¢Æð±È½ÏÍêÉÆµÄÀíÂÛÌåϵºÍʵÑé¼¼Êõ¡£Ä¿Ç°£¬¸´ÔÓµ½·Ö×ÓÁ¿´ïÊýÍòµÄÉúÎï´ó·Ö×ӵľ§Ìå½á¹¹ÒѾ±»´óÁ¿²â¶¨³öÀ´¡£ÖÁÓڲⶨһ¸öÖеȸ´Ôӳ̶ȣ¨¾§°ûÖгýÇâÔ×ÓÍ⺬ÓÐÔ¼50¸ö¶ÀÁ¢Ô×Ó£©µÄ¾§Ìå½á¹¹£¬Ò»°ãÖ»ÐèÒ»ÖÜʱ¼ä¡£Ëù²âµÃÔ×Ó×ø±êµÄ¾«¶È¿É´ï10-3°£Á¿¼¶¡£
µ¥¾§ÌåXÉäÏßÑÜÉä·ÖÎöµÄÀíÂÛÒÀ¾ÝÊÇ:¾§Ìå½á¹¹Í¬¾§ÌåµÄXÉäÏßÑÜÉäЧӦ֮¼ä´æÔÚןµÀïÒ¶±ä»»µÄ¹ØÏµ¡£¾§ÌåµÄXÉäÏßÑÜÉäЧӦԴ³öÓÚµç×Ó¶ÔX ÉäÏßµÄÏà¸ÉÉ¢É䣬¶øÔ×Ӻ˶ÔXÉäÏßµÄÉ¢ÉäÄÜÁ¦Óëµç×ÓÏà±È¿ÉÒÔºöÂÔ²»¼Æ¡£Òò´ËÓÃXÉäÏßÑÜÉä·½·¨²â¶¨¾§Ìå½á¹¹Ê±£¬¾§Ìå½á¹¹¿ÉÒÔÓÃÒ»¸ö¾§°ûÖеĵç×ÓÃܶȷֲ¼º¯Êý¦Ñ(r)À´±íʾ¡£ÆäÖÐr£½xa£«yb£«zc£¬ÊǾ§°ûÖÐÒ»¸öµãµÄλʸ£¬x¡¢y¡¢zÊÇ·ÖÊý×ø±ê£¬a¡¢b¡¢cÊDZíʾ¾§°ûÖÐÏཻÓÚÒ»µãµÄÈý¸ö±ßµÄ±ß³¤ºÍÈ¡ÏòµÄʸÁ¿¡£¾§ÌåѧÖеÄÑÜÉäЧӦָµÄÊÇÖÜÆÚÐÔÎïÌåÉÏËù·¢³öµÄÉ¢É䲨µÄµþ¼Ó½á¹û¡£Ò»¸ö¾§°û¶ÔÓÚ¸÷²»Í¬·½ÏòÉÏÑÜÉ䲨Õñ·ùµÄ¹±Ï×ͬһ¸öµç×ÓÔÚÏàÓ¦·½ÏòÉϵÄÉ¢É䲨Õñ·ùÖ®±È£¬ÊÇÃèÊö¾§ÌåµÄX ÉäÏßÑÜÉäЧӦµÄÒ»¸öÎïÀíÁ¿¡£Õâ¸öÁ¿Í¬ËùÓÃXÉäÏßµÄÇ¿¶È¡¢¾§ÌåÊÔÑùµÄ´óС¡¢ÐÎ×´µÈÒòËØÎ޹أ¬³ÆÎª½á¹¹ÒòÊý²¢¼Ç×÷F(H)¡£ÆäÖÐHÊÇÑÜÉäʸÁ¿£¬¸ù¾ÝÀͰ£Ìõ¼þ£¨¼ûXÉäÏßÑÜÉ䣩£¬ËüͬXÉäÏßÈëÉ䲨µÄ²¨Ê¸k0ºÍÑÜÉ䲨µÄ²¨Ê¸kÓÐÈçϹØÏµ£ºH£½k-k0£¬²¨Ê¸µÄ·½ÏòƽÐÐÓÚ²¨¶¯´«²¥µÄ·½Ïò£¬Æä³¤¶ÈµÈÓÚ²¨³¤µÄµ¹Êý¡£´ËÍ⣬H ÓÖÊǵ¹Ò×µãÕóÖÐÒ»¸öÕóµãµÄλʸ£¬ ¼´H£½ha*+kb*+lc*ÆäÖÐh¡¢k¡¢lÊÇÈý¸öÕûÊý£¬³ÆÎªÑÜÉäÖ¸Êý£¬a*¡¢b*¡¢c*ÊDZíʾµ¹Ò×¾§°ûÖÐÏཻÓÚÒ»µãµÄÈý¸ö±ßµÄ±ß³¤ºÍÈ¡ÏòµÄʸÁ¿£¬ËüÃÇͬa¡¢b¡¢cÓÐÈçϹØÏµ£º
a*¡¤a£½b*¡¤b£½c*¡¤c£½1£¬
a*¡¤b£½a*¡¤c£½b*¡¤a£½b*¡¤c£½c*¡¤a£½c*¡¤b£½0
¿ÉÒÔÖ¤Ã÷£¬½á¹¹ÒòÊýͬµç×ÓÃܶȷֲ¼º¯ÊýÖ®¼ä´æÔÚןµÀïÒ¶±ä»»µÄ¹ØÏµ£º
(1)
(2)
ʽÖÐV ÊǾ§°ûµÄÌå»ý£¬¦Ó°üÀ¨Õû¸öµ¹Ò×µãÕóËù´æÔڵĿռ䡣ÓÉÓÚ¦Ñ(r)¿ÉÒÔÓþ§°ûÖк¬ÓÐÈ«²¿Ô×ÓÀ´±íʾ£¬Ê½(1)ÓÖ¿ÉÒÔд³É
(3)
ʽÖÐfjÊǾ§°ûÖеÚj¸öÔ×ÓµÄÉ¢ÉäÒòÊý;rjÊǵÚj¸öÔ×ÓµÄλʸ£»NÊǾ§°ûÖÐËùº¬Ô×ӵĸöÊý¡£Í¨³£F(H)ÊÇÒ»¸ö¸´Êý£¬Ëü¿Éд³É
¡¡ (4)
ʽÖЦÁ(H)³ÆÎªF(H)µÄλÏ࣬ÆäÎïÀíÒâÒåÊÇÑÜÉäʸÁ¿ÎªHµÄÑÜÉ䲨µÄ³õλÏà¡£ÓÉÓÚF(H)Ö»¶¨ÒåÔÚµ¹Ò×µãÕóµÄÕóµãÉÏ£¬Ê½(2)ÓÖ¿ÉÒÔд³É¸µÀïÒ¶¼¶ÊýÐÎʽ£º
¡¡¡¡¡¡ (5)
²â¶¨Ò»¸ö¾§Ìå½á¹¹¾ÍÊÇÒªÇó³öÏàÓ¦µÄ¦Ñ(r)¡£Èç¹ûÓÃʵÑé·½·¨¿ÉÒÔ²âÁ¿³öËùÓеÄF(H)£¬¾Í²»ÄѸù¾Ýʽ(5)¼ÆËã³ö¦Ñ(r)¡£µ«ÊÇÏÖÓеÄÑÜÉä¼Ç¼ÊÖ¶Îͨ³£Ö»ÄܼǼÏÂ|F(H)|µÄ´óС¶ø¶ªÊ§Á˦Á(H)µÄÐÅÏ¢¡£ËäÈ»ÒѾÓв»ÉÙ¹ØÓÚÖ±½Ó²âÁ¿¦Á(H)µÄ³¢ÊÔ£¬µ«ÖÁ½ñδÄܴﵽʵÓõij̶ȡ£ÕâÑù¾Í²úÉúÁ˾§Ìå½á¹¹·ÖÎöÖÐËùνµÄλÏàÎÊÌ⡣ΪÁ˽â¾öÕâ¸öÎÊÌâÒѾ·¢Õ¹ÆðÀ´Ò»ÏµÁеķ½·¨¡£
³¢ÊÔ·¨ÕâÖÖ·½·¨µÄÌØµãÊÇÏȼÙÉèÒ»¸ö»òÕß¼¸¸ö¿ÉÄܵĽṹģÐÍ£¬È»ºóÓÃʵÑé½á¹û¼ÓÒÔ¼ø¶¨ºÍ¸ÄÉÆ¡£¼ÙÉèÒ»¸ö½á¹¹Ä£ÐÍ£¬¾ÍÒª¸ø³ö¾§°ûÖÐÿ¸öÔ×ÓµÄÖÖÀàºÍ×ø±ê¡£ÕâÑù¾ÍÓÐÒ»Ì× fjºÍrj¡£ÒÔ´Ë´úÈëʽ(3)¾Í¿ÉÒÔÇóµÃÏàÓ¦ÓÚÕâ¸öÄ£Ð͵ĽṹÒòÊýµÄ¼ÆËãÖµ£º
½«ËùµÃ|Fc(H)|ͬ½á¹¹ÒòÊýµÄʵÑé¹Û²ìÖµ|F0(H)|×÷±È½Ï£¬Èç¹ûÁ½ÕßËæHµÄ±ä»¯Ç÷ÊÆ´óÖÂÏàͬ£¬ÄÇĩģÐ;ÍÊÇ»ù±¾ÉÏÕýÈ·µÄ¡£Êʵ±µØµ÷ÕûÄ£ÐÍÖеĸ÷¸ö²ÎÁ¿Ê¹Æ«ÀëÒò×Ó
¡¡¡¡¡¡¡¡¡¡ (6)
µÄÊýÖµ±äС£¬¾Í¿ÉÒÔʹģÐͽøÒ»²½¸ÄÉÆ¡£´Ë·¨ÎÞÐëÒÀÀµÎ»ÏàÐÅÏ¢£¬µ«Ð§Âʵͣ¬¾«¶È²î£¬ÓÐʱ»¹»áµ¼³ö´íÎóµÄ½á¹û¡£
¸µÀïÒ¶×ۺϷ¨ÕâÖÖ·½·¨ÐèÒªÓÐÒ»Ì×´óÖÂÉÏÕýÈ·µÄλÏà¡£ÕâÑùÒ»Ì×λÏà¿ÉÒÔÓÉÒ»¸ö¼ÙÉèµÄÄ£ÐͼÆËãÇóµÃ£¬Ò²¿É´ÓÆäËû;¾¶»ñµÃ¡£Ò»µ©µÃµ½Ò»Ì×λÏàµÄ¼ÆËãÖµ¦Ác(H)£¬¾Í¿ÉͬʵÑé²âµÃµÄ|F0(H)|ÏàÅäºÏ£¬ÓÃ
|F0(H)|
´úÌæÊ½(5)ÖеÄF(H)È¥¼ÆËã¦Ñ(r)¡£ÔÚÕâ¸ö¦Ñ(r)ÉÏÏÔÏÖ³öµÄ½á¹¹Í¼Ðλá±ÈÔʼģÐ͸ü½Ó½üÕæÊµÇé¿ö¡£Òò´Ë¿ÉÒÔÀûÓÃËüÈ¥¸ÄÉÆÔʼģÐÍ»òÐÞÕýÔʼģÐÍÖеľֲ¿´íÎó¡£Ð޸ĺóµÄÄ£ÐÍ¿ÉÒÔÓÃÓÚ¼ÆËãÒ»Ì×еĦÁc(H)£¬ÓÉ´ËÓֿɼÆËãÒ»¸öеĸü½Ó½üÓÚʵ¼ÊµÄ¦Ñ(r)¡£ÕâÑùÖܶø¸´Ê¼£¬×îºó¾Í¿ÉÒÔ»ñµÃºÜ½Ó½üÕæÊµÇé¿öµÄ½á¹û¡£ÕâÖÖ·½·¨ÓÖ½Ð×öµç×ÓÃܶȺ¯ÊýÖ𲽱ƽü·¨¡£ËüËäȻûÓдӸù±¾ÉϽâ¾öλÏàÎÊÌ⣬µ«ÊÇÈ´¾ßÓкÜÇ¿µÄ¸ÄÉÆºÍУÕýÔʼģÐÍÒ²¾ÍÊÇÔʼλÏàµÄÄÜÁ¦¡£Òò´ËÕâÖÖ·½·¨ÆÕ±éµØÓ¦ÓÃÓÚ¾§Ìå½á¹¹·ÖÎö¹ý³ÌµÄÖС¢ºóÆÚ£¬ÓÃÒÔ¸ÄÉÆÓÉÆäËû·½·¨Ê×ÏÈ»ñµÃµÄ½á¹û¡£
ÕâÊÇ1934ÄêÓÉA.L.ÅÁÌØËïÌá³öµÄ·½·¨¡£Õâ·½·¨ÈÆ¿ªÁËλÏàÎÊÌ⣬ֱ½ÓÓÃʵÑé²âµÃµÄ|F0(H)|È¥¼ÆËãÒ»¸öËùνÅÁÌØËﺯÊý
¡¡ (7)
¸ù¾Ý¸µÀïÒ¶±ä»»ÔÀí£¬Õâ¸öº¯Êýʵ¼ÊÉÏÊǵç×ÓÃܶȷֲ¼º¯ÊýµÄ×Ô¾í»ý£¬¼´
¡¡ (8)
Ëüͬµç×ÓÃܶȷֲ¼º¯Êý£¬Ò²¾ÍÊǾ§Ìå½á¹¹£¬ÓÐÈçÏÂÁªÏµ£º¦Ñ(r)ÖÐÿ³öÏÖÁ½¸ö¼«´óÖµ£¬Ò²¾ÍÊǾ§°ûÖÐÿ³öÏÖÁ½¸öÔ×Ó£¬P(U)ÖоÍÒªÏàÓ¦µØ³öÏÖÒ»¸ö¼«´óÖµ(ÓÖ³Æ×÷¡°·å¡±)¡£Õâ¸ö·åµÄ´óСÕý±ÈÓÚÁ½¸öÔ×ÓÐòÊýµÄ³Ë»ý£¬¶ø·åÖÐÐĵÄλʸµÈÓÚÁª½áÁ½¸öÔ×ÓÖÐÐĵÄʸÁ¿¡£¸ù¾ÝÕâÒ»ÐÔÖÊ£¬ÔÔòÉÏ¿ÉÓÃÂß¼ÍÆÀíµÄ·½·¨»òÀûÓÃͼÐβÙ×÷µÄ¼¼Êõ´ÓP(u)½â³öÕû¸ö¾§Ìå½á¹¹¡£Êµ¼ÊÉÏ£¬¶àÊýÇé¿öÏ£¬´ÓP(u)Ö»Äܽâ³öÒ»²¿·ÖÔ×ÓµÄ×ø±ê¡£ÕâÑù½â³öµÄ¡°²¿·Ö½á¹¹¡±³£³£¿ÉÒÔ×÷Ϊ¸µÀïÒ¶×ۺϷ¨µÄÆðµã¡£ÁíÍ⣬ÓÉÓÚÔÚP(u)ÖзåµÄ´óСÓëÁ½¸öÔ×ÓµÄÐòÊý³Ë»ý³ÉÕý±È£¬Òò´ËÓÃÅÁÌØËï·¨±È½ÏÈÝÒ×ÕÒ³ö¾§°ûÖÐÐòÊý½Ï´óµÄÄÇЩÔ×Ó¡£ÀûÓþ§°ûÖÐÉÙÊý½Ï¡°ÖØ¡±µÄÔ×Ó½üËÆµØÇóµÃÒ»×éÔʼµÄλÏ࣬ÔÙÓøµÀïÒ¶×ۺϷ¨½â³öÕû¸ö½á¹¹£¬Õâ¾ÍÊÇÖØÔ×Ó·¨¡£ÅÁÌØËï·¨¼ÓÉÏÖØÔ×Ó·¨ÊÇÇó½âËùνº¬ÖØÔ×Ó¾§Ìå½á¹¹µÄÖ÷ÒªÊֶΡ£
ͬ¾§ÐÍÖû»·¨Èç¹ûÁ½ÖÖ¾§ÌåµÄ¿Õ¼äȺ£¨¼û¾§ÌåµÄ¶Ô³ÆÐÔ£©Ïàͬ¡¢¾§°û²ÎÊý·Ç³£½Ó½ü£¬Ô×ÓÔÚ¾§°ûÖеķֲ¼³ýÉÙÊýÍâÒ²·Ç³£Ïà½ü£¬ÔòÕâÁ½ÖÖ¾§Ìå³ÆÎªÍ¬¾§Ð͵ľ§Ìå¡£Èç¹ûÔÚÒ»ÖÖ¾§ÌåµÄ¾§°ûÖÐÉè·¨Ôö¡¢¼õ»òÌæ»»ÉÙÊýÔ×Ó¶ø±£³ÖÆäÓ಻±ä£¬Õâ½Ð×öͬ¾§ÐÍÖû»¡£¼ÙÈçͨ¹ýͬ¾§ÐÍÖû»»ñµÃÈýÖÖͬ¾§Ð;§Ì壬ËüÃǵĹ²Í¬²¿·ÖÊÇP£¬²»Í¬²¿·ÖÊÇQ1¡¢Q2¡¢Q3£¬ÄÇôÕâÈýÖÖ¾§ÌåµÄ½á¹¹ÒòÊý¿ÉÒÔд³É
Óɴ˿ɵãº
(9)
(10)
(11)
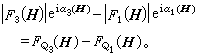
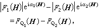
Èç¹ûQ1¡¢Q2¡¢Q3ÊÇÓÉÔ×ÓÐòÊý½Ï´óµÄÖØÔ×ÓËù×é³É£¬²»ÄÑÓÃÅÁÌØËï·¨Çó³öÕâЩÔ×ÓµÄ×ø±ê´Ó¶øËã³ö
¡£ÕâÑù (9)¡«(11) Èý¸ö·½³ÌÖоÍÖ»°üº¬¦Á1(H)¡¢¦Á2(H)¡¢¦Á3(H)Èý¸öδ֪Êý£¬Òò¶øÕâÈý¸öδ֪Êý¿ÉÒÔÖ±½Ó½â³öÀ´¡£Õâ¾ÍÊÇͬ¾§ÐÍÖû»·¨¡£ËüÊÇĿǰÄܹ»´¦Àí×Ôӵľ§Ìå½á¹¹µÄ·½·¨£¬ÔÚÉúÎï´ó·Ö×Ó¾§Ìå½á¹¹µÄ²â¶¨ÖÐÕ¼ÓТ¶ÏµÄµØÎ»¡£ÆäȱµãÔòÊÇÊÔÑùÖÆ±¸µÄ³É¹¦Âʲ»¸ß£¬¶øÇÒÊÖÐøÂé·³¡£
Ëùνֱ½Ó·¨¾ÍÊÇ´ÓÒ»×é½á¹¹ÒòÊýµÄ¾ø¶ÔÖµ|F(H)|Ö±½ÓÍÆÒý³öËüÃǵÄλÏàµÄ·½·¨¡£´ÓÖ±½Ó·¨µÄ¹Ûµã¿´À´£¬½á¹¹ÒòÊýµÄλÏಢûÓжªÊ§£¬¶øÊÇÒþº¬ÔÚʵÑéÖй۲쵽µÄ½á¹¹ÒòÊý¾ø¶ÔÖµµ±ÖС£
ÓÉʽ(3)ºÍʽ(4)¿ÉµÃ£º
(12)
(13)
ÓÉ´Ë¿ÉÖª£¬Èç¹û²âÁ¿³öM¸ö|F(H)|¾Í¿ÉÒÔ½¨Á¢2M¸ö·½³Ì¡£ ÔÚÕâ2M¸ö·½³ÌÖУ¬Î´ÖªÊýÓÐM+3N¸ö¡²°üÀ¨M¸öλÏà ¦Á(H)ºÍ3N ¸öÔ×Ó×ø±ê²ÎÊý¡³¡£Í¨³£MµÄÊýÄ¿´óÔ¼ÊÇ2000¡«3000×óÓÒ£¬¶øNÒ»°ã²»³¬¹ý100(Ö¸²»°üÀ¨ÇâÔ×ÓÔÚÄڵĶÀÁ¢Ô×ÓÊýÄ¿)¡£Òò´Ë2M
M+2N£¬Ò²¾ÍÊÇ˵£¬ÓÃʵÑéÊý¾Ý |F(H)|½¨Á¢ÆðÀ´µÄ·½³ÌÊýÄ¿ÍêÈ«×ã¹»½â³öËùÓеÄδ֪λÏà¦Á(H)¡£Õâ¾ÍÊÇÖ±½Ó·¨µÄÀíÂÛ¸ù¾Ý¡£Êµ¼ÊÉÏ£¬Ö±½Ó·¨²¢²»Ê¹ÓÃÉÏÃæËùÊöµÄ·½³Ì×éÈ¥Çó½âλÏ࣬¶øÊÇÀûÓÃÏÂÃæµÄλÏà¹ØÏµÊ½£º
¦Á(H)¡Ö¦Á(H©Å)+¦Á(H-H©Å) (14)
ºÍ
(15)
ÀûÓÃʽ(14)£¬´ÓÉÙÊý¼¸¸öλÏà³ö·¢¿ÉÒÔÍÆÒý³öÒ»ÅúеÄλÏà¡£½«ÕâÅúλÏàÓÃʽ(15)×÷µü´ú´¦Àí£¬¿ÉÒÔѸËÙÀ©Õ¹³öÆäÓàλÏಢʹȫ²¿Î»ÏàµÄÊýÖµÖð²½¾«È·»¯¡£×÷Ϊ³ö·¢µãµÄÉÙÊý¼¸¸ö£¨ÓÐʱ¿É´ï¼¸Ê®¸öÄËÖÁ°ÙÀ´¸ö£©Î»Ïà³ÆÎªÆðʼλÏà×é¡£ÈçºÎ½¨Á¢ÕâÑùÒ»¸öÆðʼ×éÒÔ¼°ÈçºÎÓÉÕâÑùÒ»¸öÆðʼ×éÍÆÒý³öÆäËûλÏàÊÇÖ±½Ó·¨¶àÄêÀ´ÖÂÁ¦Ñо¿µÄ¿ÎÌ⡣ĿǰÒѾ·¢Õ¹³ö¶àÖÖÓÐЧµÄ·½·¨¡£ÔÚÇó½âÓÉÔ×ÓÐòÏà½üµÄÔ×Ó×é³ÉµÄ¾§Ìå½á¹¹·½Ã棬ֱ½Ó·¨ÒÑÖð½¥µØÈ¡´úÁËÅÁÌØËï·¨¡£
¾§Ìå½á¹¹·ÖÎö¼ÆËã³ÌÐò¾§Ìå½á¹¹·ÖÎöÐèÒª´¦Àí´óÁ¿ÊµÑéÊý¾Ý²¢¶ÔÕâЩÊý¾Ý×÷¸÷ÖÖ·±¸´µÄÔËËã¡£Òò´ËÏÖ´úµÄµç×Ó¼ÆËã¼¼Êõ¶Ô¾§Ìå½á¹¹·ÖÎöµÄ·¢Õ¹Æð׏ؼüÐÔµÄ×÷ÓᣴÓ50Äê´ú¿ªÊ¼¾§Ìå½á¹¹·ÖÎö¾ÍÀûÓÃÁ˵ç×Ó¼ÆËã»ú£»60Äê´ú£¬¹ú¼ÊÉϾÍÒѳöÏֱȽϳÉÊìµÄ±ê×¼»¯µÄ¾§Ìå½á¹¹·ÖÎö³ÌÐòϵͳ£»70Äê´ú£¬ÕâÖÖ³ÌÐòϵͳÒѼûÓÚÉÌÆ·¡£Ò»¸ö¾§Ìå½á¹¹·ÖÎö³ÌÐòϵͳͨ³£°üº¬ÒÔϼ¸¸ö¹¦ÄÜ£º
£¨1£©ÔʼÊý¾Ý´¦Àí£¬¢Ú¸µÀïÒ¶±ä»»ÔËË㣬¢ÛλÏàÍÆÒý(Ö±½Ó·¨)£¬¢ÜÔ×Ó²ÎÊýµÄ×îС¶þ³Ë·¨¾«»¯£¬¢Ý½á¹¹Ä£Ð͵ķÖÎöºÍ»æÍ¼¡£
- ²Î¿¼ÊéÄ¿
- G.H.W.Milburn£¬X-Ray Crystallography£¬An Intro-duction to the Theoty and Practice of Single-Crystal Structure Analysis£¬Butterworths£¬London£¬ 1973.
- M.J.Buerger£¬Vector Space and its Applicationin Crystal Structure Investigation£¬John Wiley & Sons£¬New York£¬1959.
- M.F.C.Ladd and R. A.Palmer£¬ed.£¬Theory and Practice of Direct Methods in Crystallography£¬Plenum Press£¬New York£¬1980.