[Æ´Òô]£ºshuibo
[ÍâÎÄ]£ºwater wave
´¦ÓÚÆ½ºâ״̬µÄË®ÃæÄ³´¦Êܵ½ÈŶ¯À뿪ƽºâλÖã¬ÔÚÖØÁ¦µÈÁ¦µÄ×÷ÓÃϲúÉúµÄ²¨¡£µØÇòÉϵÄË®¶¼Êܵ½ÖØÁ¦µÄ×÷Óã¬ÒºÃæÓÖÊܵ½±íÃæÕÅÁ¦µÄ×÷Ó㬴ËÍ⻹Êܵ½¿ÆÀï°ÂÀûÁ¦£¨¼û¹ßÐÔÁ¦£©µÄ×÷Óá£ÓÉÓÚË®µÄÉîdzºÍÕâЩÁ¦µÄÏà¶ÔÓ°ÏìµÄ²»Í¬£¬Ë®²¨µÄÐÔÖÊÒ²¸÷Òì¡£·ç´µË®Ãæ²úÉúµÄÁ°²¨£¬Í¶Ê¯ÓÚË®ÖÐËù²úÉúµÄ²¨µÈ¶¼Êdz£¼ûµÄË®²¨¡£
Ë®²¨µÄÌØµãÊǾßÓÐÏÔÖøµÄƵɢ×÷Óá£ÓÉÓÚË®²¨µÄ¸´ÔÓÐÔ¼°¿ÉÊÓÐÔ£¬Òò´Ë̽ÌÖË®²¨µÄÌØÐÔ¼°Ñо¿·½·¨ÔÚÁ˽Ⲩ¶¯·½ÃæÓÐÖØÒªÒâÒå¡£
Ò»°ãµÄÇé¿ö£¨²¨³¤²»Ì«³¤£©¿ÉÒÔºöÂÔ¿ÆÀï°ÂÀûÁ¦µÄ×÷Óã¬ÕâÖÖË®²¨½Ð±íÃæÕÅÁ¦ÖØÁ¦²¨¡£Ò»Î¬Ðв¨µÄÇé¿öÓÐ
¼°
ʽÖЦÇÊÇÒºÃæÀ뿪ƽºâλÖõÄÎ»ÒÆ£¬aÊDz¨Õñ·ù£¬kÊDz¨ÊýʸÁ¿£¬
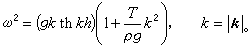
£¬¦ËΪ²¨³¤£¬gÊÇÖØÁ¦¼ÓËÙ¶È£¬wÊDz¨µÄԲƵÂÊ£¬TÊDZíÃæÕÅÁ¦£¬¦ÑÊÇÒºÌåÃܶȣ¬hÊÇË®µÄƽºâÉî¶È£¬xÊÇÒºÃæµÄ×ø±ê¡£ÆµÉ¢×÷ÓñíÏÖÔÚÆµÂÊÓ벨ÊýµÄ¹ØÏµ¡£µ±
ʱ£¬±íÃæÕÅÁ¦×÷ÓÿÉÒÔºöÂÔ²»¼Æ£¬ÖØÁ¦ÆðÖ÷Òª×÷Óã¬ÕâʱµÄ²¨½ÐÖØÁ¦²¨£»·´Ö®£¬½Ð±íÃæÕÅÁ¦²¨£¬·ç´µË®ÃæµÄÁ°²¨¾ÍÊDZíÃæÕÅÁ¦²¨¡£ÉîË®Çé¿ö£¬¼´kh
1£¬ÖØÁ¦²¨µÄƵɢ¹ØÏµÎª¦Ø2£½gk£¬±íÃæÕÅÁ¦²¨µÄ¹ØÏµÎª
°´ÆµÉ¢¹ØÏµ£¬¿ÉÒÔ¼ÆË㲨µÄÏàËÙ
ºÍȺËÙ
ÒÔÉîˮΪÀý£¬±íÃæÕÅÁ¦ÖØÁ¦²¨µÄÏàËÙºÍȺËÙ¶¼ÓÐÒ»¸ö¼«Ð¡Öµ£¬ÈºËٵļ«Ð¡ÖµÎª0.179m/s£¬ÏàÓ¦²¨³¤Îª 0.0439m¡£µ±²¨³¤ÓÉÏàÓ¦ÓÚËÙ¶È×îСʱµÄ²¨³¤Ôö¼Ó»ò¼õСʱ£¬²¨ËÙ¶¼½«Ôö´ó£¬¶ÔÓ¦ÓÚÒ»¸ö²¨ËÙÓÐÁ½¸ö²¨³¤£¬³¤²¨ÊôÖØÁ¦²¨£¬¶Ì²¨Êô±íÃæÕÅÁ¦²¨¡£³£¼ûµÄË®²¨£¬ÔÚ³¤²¨ÉÏÖØµþ×ÅÁ°²¨Í¬Ê±´«²¥£¬¾ÍÊÇÒ»¸öÖ¤Ã÷¡£ÓÉÓÚ²»´æÔÚȺËÙСÓÚ0.179m/sµÄË®²¨£¬ËùÒÔͶʯÔÚË®Ãæ²úÉúµÄ²¨Ôڰ뾶Ϊ0.179tµÄÔ²»·ÄÚÊÇÆ½¾²µÄ£¬tÊÇ´ÓͶʯ´¥Ë®ËãÆðµÄʱ¼ä¡£ÓÉÓÚÉîË®ÖØÁ¦²¨ÖУ¬²¨³¤´óµÄ²¨µÄȺËÙ´ó
ËùÒÔÔÚÀëÔ´ r´¦Ëù½ÓÊÕµ½µÄ²¨µÄƵÂʽ«ËæÊ±¼äµÄÔö¼Ó¶øÏßÐÔÔö¼Ó£¬¼´
Õâ¸ö¹ØÏµÓÉF.E.˹ŵµÂ¸ñÀ˹µÈÔÚÄÏ̫ƽÑóÉÏ£¬À뺣ÉϷ籩Èýǧ¶àǧÃ׵ĵط½Ëù½ÓÊÕµ½µÄ²¨ÀËµÄÆµÂÊʱ¼ä¹ØÏµËù֤ʵ¡£
ÉîË®ÖØÁ¦²¨ÖУ¬Ã¿¸öÖʵãÈÆÆäƽºâλÖÃÔÚͨ¹ý²¨µÄ´«²¥·½ÏòµÄÇ¦Ö±ÃæÄÚ×÷Ô²ÖÜÔ˶¯£¬ÖʵãµÄÔ˶¯Ëٶȼ°Ô²Öܰ뾶¾ùËæÀ뿪ƽºâË®ÃæµÄ¾àÀëz°´Ö¸ÊýË¥¼õ£¬¼´
£¬ÔÚÒ»¸ö²¨³¤ÉÏË¥¼õµ½e
±¶£¬Òò´Ë£¬¾¡¹Üº£Ã沨ÌÎÅìÅÈ£¬É×ÜÊǺܰ²¾²µÄ¡£
´¬²¨ÊǺܸ´Ôӵ쬵«ÉîË®´¬²¨Óë´¬ÐÐËÙ¶ÈÎ޹أ¬¾ßÓнϼòµ¥µÄ¹æÂÉ£¬ÓëÂíºÕÊýΪ3µÄµ¯Í·²¨ÏàËÆ¡£´¬²¨µÄͼÑùÓëÉîË®ÖØÁ¦²¨µÄƵɢÓйأ¬ÈŶ¯ÇøÓòÏÞÖÆÔÚ´¬ºóÒÔ´¬Îª¶¥µã£¬½Ç¶ÈΪ39¡ãµÄШÐÎÇøÓòÄÚ¡£ÀíÂÛ¼ÆËã³öµÄ´¬²¨µÄÒ»¸ö²¨·åµÄÐÎ×´Èçͼ1a£¬Í¼ÖеļýºÅ±íʾ²¨·åÏà¶ÔÓÚ¾²Ö¹×ø±êµÄÔ˶¯£¬Í¼1bÊÇ´¬²¨µÄÍêÕûͼÑù¡£Ç³Ë®µÄÇé¿ö£¬¼´kh
1£¬Ç³Ë®ÖØÁ¦²¨µÄÏàËÙÓëÆäȺËÙÏàµÈ£¬¼´
£¬½öÓëÉî¶ÈÓйء£µ±¿ÆÀï°ÂÀûÁ¦µÄ×÷Óò»ÄܺöÂÔʱ£¬Ç³Ë®ÖØÁ¦²¨½Ð¹ßÐÔÖØÁ¦²¨£¬ÆäƵɢ¹ØÏµºÍÏàËÙΪ
£¬¼°
ʽÖÐf0±íʾ¿ÆÀï°ÂÀûÁ¦µÄ×÷Óã¬f0£½2¦¸sin¦µ£¬¦¸ÎªµØÇò×ÔתµÄ½ÇËÙ¶È£¬¦µÎªµØÃæÎ³¶È¡£ÔÚ
ʱ£¬¿ÆÀï°ÂÀûÁ¦²ÅÆðÖ÷Òª×÷Óá£
ÍêÕûµÄÁ÷Ì嶯Á¦Ñ§·½³ÌÊÇ·ÇÏßÐԵģ¬Òò´ËË®²¨µÄ²¨¶¯·½³ÌÒ²Ó¦ÊÇ·ÇÏßÐԵġ£ÔÚ²¨·ùԶСÓÚ²¨³¤µÄÇé¿ö£¬¼´a/¦Ë
1£¬¿ÉÒÔ½«·½³ÌÏßÐÔ»¯£¬µÃµ½ÏßÐÔ²¨¶¯·½³Ì¡£ÒÔÉϵĸ÷ÖÖË®²¨·ÖÎö¶¼ÊÇÒÔÏßÐÔ²¨¶¯·½³ÌΪ»ù´¡µÄ£¬ÓÖͳ³ÆÎªÏßÐÔ²¨»òСÕñ·ù²¨¡£µ«µ±²¨·ùÓ벨³¤µÄ±ÈÖµ²»¿ÉºöÂÔʱ£¬±ØÐ뿼Âǵ½·ÇÏßÐÔ£¬ÕâʱµÄ²¨½Ð·ÇÏßÐÔ²¨»ò´óÕñ·ù²¨¡£¾öµÌ²¨¡¢¹ÂÁ¢²¨¼°Ë¹ÍпË˹²¨¶¼ÊÇ·ÇÏßÐÔ²¨¡£
ͼ2±íʾµÄÊÇһάµÌ°Ó£¬µÌ°ÓÄÚË®µÄÉî¶ÈΪH0£¬ÔÚt£½0ʱ¾öµÌ£¬Ë®Ó¿ÏòÏÂÓΣ¬Ë®ÉîµÄ¹ØÏµÎª
ÔÚijһʱ¿Ì t£¬h°´ xµÄ·Ö²¼Îª¾öÌᲨÓÚ tʱ¿ÌµÄ²¨Ã棬ËüΪһÅ×ÎïÃæ¡£h£½0µÄÒÆ¶¯ËÙ¶È£¬¼´²¨ÃæÇ°¶ËµÄËÙ¶ÈΪ
¹ÂÁ¢²¨ÊÇÒ»ÖÖ¶¨³£²¨£¬´«²¥Ê±²¨Ðβ»·¢Éú±ä»¯£¬²¨µÄÎ»ÒÆÎª
ʽÖЦÇ0Ϊ²¨·ù£¬h0ΪˮµÄƽºâÉî¶È£¬UΪ²¨µÄǰ½øËÙ¶È
˹ÍпË˹²¨ÊÇÒ»ÖÖÖÜÆÚ²¨£¬¿¼Âǵ½·ÇÏßÐÔµÄ×÷Óã¬ÆµÉ¢²»½öÓ벨ÊýÓйأ¬¶øÇÒÓ벨µÄÕñ·ùÓйء£Ë¹ÍпË˹²¨µÄÎ»ÒÆºÍƵɢ¹ØÏµÎª
ʽÖЦÅΪһ¸öСµÄ²ÎÁ¿a/h0£¬¦È£½kx-wt¡£´óÕñ·ù²¨µÄ¸ß¶ÈÊÇÓÐÏ޵쬼«ÏÞֵΪa/¦Ë£½0.142¡£ÔÚÕâ¸ö¼«Ï޸߶ȣ¬²¨·åÊDz»Îȶ¨µÄ£¬½«ËéÁÑ¡£ÔÚÓÉÒ»¸öÕñ¶¯µÄ²à±ÚËù²úÉúµÄ´óÕñ·ùµÄһάÉîË®ÖØÁ¦Ðв¨µÄʵÑéÑо¿ÖУ¬µÃµ½Õñ·ù×ã¹»´óÖ±µ½Àë²à±Ú×î½üµÄ²¨·åÒ²²»Îȶ¨Ê±£¬ÖØÁ¦²¨µÄƵÂʽ«±äΪ²à±ÚÕñ¶¯ÆµÂʵÄÒ»°ë£¬³ÉΪ°ëƵ²¨¡£ÔÚת±ä¹ý³ÌÖУ¬ÖØÁ¦²¨ÊDz»Îȶ¨µÄ£¬²¨ÃæµÄÕñ¶¯ÔÚÕý³£ÆµÂÊºÍ°ëÆµÂÊÖ®¼äת±ä£¬Í¼3ÊÇʵÑéËùµÃµÄË®ÃæÎ»ÒÆµÄʱ¼ä¹ØÏµ¡£
- ²Î¿¼ÊéÄ¿