[拼音]:a'erwenbo
[外文]:Alfvén wave
瑞典学者阿尔文发现的一种磁流体力学波。在磁场冻结的条件下,导电流体中可以出现这种波动。处在磁场中的导电流体,在垂直于磁场方向受到一种局部扰动时,便会激发起阿尔文波。阿尔文波是振动方向与传播方向垂直的横波,有时也称为剪切阿尔文波。根据宇宙磁流体力学原理,磁雷诺数很大,在某种意义上可以看作磁力线冻结在物质上一起运动,流体好像粘附在磁力线上,可以把磁力线视作质量等于每一根磁力线上的流体质量的物质线。磁力线上存在着张力B2/4πμ,因此,可以把磁力线比作弹性弦,磁力线的波动传播可以看作与弦线的振动传播十分类似。对于普通的弦线,横向振动满足下面方程:
。
式中S为弦线中的张力;m为单位弦线长度上的质量。向z方向传播的波速为:
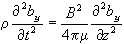
对于均匀介质和均匀磁场,类似地有如下波动方程:
。
式中by为场的扰动成分:B为基态磁感应强度。阿尔文波就是这种扰动场的传播,传播速度为:
称为阿尔文速度。宇宙天体大部分均属带磁的高电导率等离子体。任何流体的扰动,都十分容易激起阿尔文波,所以它在天体等离子体现象中有重要的作用。