[拼音]:reshiyingxishu
[外文]:thermal accommodation coefficients
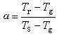
表示固体与气体间能量交换程度的物理参数。如果温度为Ts的固体表面被温度为Tg的气体包围, 通过固体表面的平均能量流等于单位时间内碰向固体表面的气体分子所带来的能量和离开表面(反射)分子带走的能量之差。碰向固体表面那部分气体传给固体的能量为Eg,它等于相应各分子传递能量的总和;离开固体表面那部分气体实际带走的能量为Er,它等于相应各分子带走能量的总和;若是理想情况,则离开固体表面的气体应带走的能量为Es。热适应系数表示为
。因为气体分子的平均动能与气体的温度成正比,所以热适应系数又可表示为
。Tr、Tg、Ts、为相应于上述三种能量的热力学温度(见热力学温标)。
计算双原子分子或更复杂的分子的热适应系数时,除了考虑平动能量外,还需考虑它们的转动能量和振动能量的贡献,公式需要修正。
在精确计算航天器的轨道参数及其在空间运行的寿命时,要用到气体分子的热适应系数。