[拼音]:Kulun
[外文]:Charles Augustin de Coulomb(1736~1806)
法国工程师和物理学家。1736年6月14日生于昂古莱姆。他的最大贡献是在研究静电力和静磁力方面的成就。
库仑在中学时期就爱好数学和物理,后来在梅济耶尔进工程学校,1761年毕业,入法国兵工团任技术军官,三年后又被派往加勒比海法属马提尼克岛担任建造波旁要塞的工程师。1772年回国,从此开始科学研究工作,1781年被选为法国科学院院士。1806年8月23日在巴黎逝世。
库仑先在应用力学,如结构力学、梁的断裂、砖石建筑、土力学、摩擦理论、扭力等方面做了许多工作,他也是测量人在不同工作条件下做的功(人类工程学)的第一个尝试者。由于这些卓越成就,他被认为18世纪欧洲伟大工程师之一。
1773年法国科学院悬奖征求改进船用指南针的方案,库仑就在此时开始转而研究静电力和静磁力。他注意到以往把磁针轴托在细小支点上不免要受到摩擦力的影响,就改用头发丝或蚕丝把它悬挂起来以消除摩擦所引起的误差。这一改进使他获得了1777年法国科学院的奖金。他同时还测得作用在细丝上的扭力与磁针偏转的角度成正比,从而能计算磁力的大小。这就使他提出了一种可以精确测量微小力的扭秤。
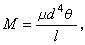
为了用扭秤测量磁力,库仑还对金属细丝(悬丝)的转矩进行了许多理论和实验研究,并于1784年提出了细丝中转矩的正确公式
式中M为转矩,μ为扭转系数,Θ为扭转角,d和l分别为细丝的直径和长度。1785~1789年间他用扭秤非常精确地测量了静电力和静磁力,并总结出一条现称为库仑定律的著名定律,即静电或磁的吸引或排斥力都与距离二次方成反比。
在对电学和磁学的研究方面,他还提出过带电物体因漏电而损失电量的衰减公式和分子的极化模型等。而极化模型又是以后A.-M.安培提出分子电流的重要思想基础。