[拼音]:niucheng
[外文]:torsion balance
测量重力位二次导数的仪器,早在1791年卡文迪许(H. Cavendish)用来测量重力常数的仪器就是扭秤的一种形式。1881年的匈牙利物理学家 L.von厄缶为测定物质的引力质量发展了扭秤,1915年开始用于重力勘探。
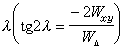
重力位W在x、у、z方向有6个二次导数:Wxx、Wyy、Wzz、Wxy、Wxz、Wyz。扭秤可测量重力在x(北)和у(东)方向的水平梯度Wxz和Wyz,以及同等位面形状有关的2Wxy和W△(即Wyy-Wxx),其中W△是等位面的两个主截面(曲率半径最大和最小的两个互相垂直的截面)的曲率差;Wxy确定了主截面相对x、y轴的方向。重力位二次导数的测量单位称厄缶,1厄缶=10-9伽/厘米。
扭秤的基本原理是在一根刚性杆的两端连结相距一定高度的两个相同质量的重物,通过秤杆的中心用一扭丝悬挂起来。秤杆可以绕扭丝自由转动,当重力场不均匀时,两个质量所受的重力不平行。这个方向上的微小差别在两个质量上引起小的水平分力,并产生一个力矩使悬挂系统绕扭丝转动,直到与扭丝的扭矩平衡为止。扭丝上的小镜将光线反射到记录相板上。当扭丝转动时,光线在相板上移动的距离标志着扭转角的大小。平衡位置与扭秤常数和重力位二次导数有关。在一个测点上至少观测3个方位,确定4个二次导数值,测量精度一般达几厄缶。
扭秤的测量结果用矢量图表示,用一短线表示曲率,矢量方向
相应于最小曲率平面的方位,矢量长度
表示等位面曲率差大小。在短线中心以箭头画出总梯度,指向重力增加的方向。
扭秤的灵敏度很高并可测多个参数;但由于测量时间长,仪器笨重,受地形影响严重,近年来几乎已完全被重力仪所取代,但在重力测量史上它曾起过重要作用。