抗生素

又称抗菌素。早期是指那些由微生物分泌的化合物,其稀溶液具有抑制或杀灭细菌的能力;近代则指微生物及其他有生命的体系所产生的、具有抑制或杀伤其他微生物(包括细菌、霉菌、病毒、列克次氏体等)及抗癌能力的化合物。

发现

中国古代早就注意到腐乳等制品的治疗效果。1929年A.弗莱明等注意到青霉菌对许多病原菌有抑制作用,而对动物和人体组织无毒。后来由H.W.F.弗洛里等证实,并在40年代初成功地应用于临床。40~50年代相继发现了在近代医药化学上有重要意义的一些抗生素,如链霉素(1943)、氯霉素(1947)、金霉素(1948)、土霉素(1950)和四环素等。目前研究过的来源于微生物的抗生素近3000种,其中有实用价值的大约占总数的3%。目前实际使用的抗生素大多是抗细菌的,只有极少数用于抗霉菌。对寻找抗病毒的抗生素曾进行过大量的工作,但收获甚微。若干有抗癌能力的抗生素,虽然毒性都很大,但仍不同程度地用于临床。目前抗生素在药物生产中的总比重,大约占2/5左右。抗生素的应用,使过去认为的“不治之症”,如肺炎、恶性痢疾、伤寒、鼠疫、霍乱结核病等能够治愈。

类型

按化学结构分为以下几种主要类型。

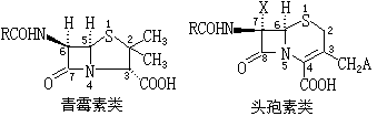
β-内酰胺类

包括青霉素类和头孢素类及其半合成衍生物两大类,是非常重要的抗生素。在它们的分子中都含有一个易于水解的四环内酰胺环,结构式如下:

公式 符号

各种青霉素类和半合成青霉素类的R基团不同。各种头孢素类和半合成头孢素类相互间也是 R基团不同。它们的抗生机理,都是干扰细菌细胞壁的合成,因此除个别有敏感外,对哺乳动物表现低毒性。

四环素类

包括四环素、金霉素、去甲金霉素和土霉素,以及相关的半合成衍生物强力霉素等。它们具有由四个六碳环呈线状并合的共同结构特征:

公式 符号

例如:四环素中R1=R4=H, R2=OH, R3=CH3;金霉素中 R1=Cl,R2=OH,R3=CH3,R4=H。以上结构中,A、B、C、D是环的标记编号,数字是命名编号。

正定霉素

或称柔毛霉素。1963年从放线菌Strep-tomyces peucetius中提取,中国1970年从河北省正定县土壤中的一种菌株中分离得到。它有与四环素类相近的结构,但可划作一独立的抗生素类,即四环蒽醌类。正定霉素是一种抗癌抗生素,对若干白血病有疗效,但毒性较强。其结构式如。

公式 符号

阿霉素是一种抗瘤谱较正定霉素更广的抗生素,除白血病外对实体瘤也有效,它们的作用机理是抑制与DNA相应的RNA的合成。

大环内酰胺类

结构中皆有一个从芳环两个非相邻接原子开始的大环内酰胺。这类抗生素分为两类:一类的芳香环部分由萘醌的衍生物构成;另一类则含苯醌型的结构。其中最重要的是利福霉素,它是由一种诺卡氏菌Nocardia mediterranei中分离出来的,共分五种。培养液中加入二乙基巴比妥酸钠,则可专一地产生易于分离的利福霉素B,因此生产的主要是利福霉素B及其半合成产物。利福霉素B氧化则生成更活泼的利福霉素O,再氧化得利福霉素S,用抗坏血酸(即维生素C)还原则得利福霉素SV。结构式如下:

公式 符号

利福霉素B的R用 OH、25位氢用公式 符号替换后,还可得到半合成的利福平。利福霉素和利福平对革兰氏阳性和阴性菌皆有效,尤其重要的是对结核杆菌和麻疯杆菌有疗效,并对某些病毒有作用。

大环内酯类

这类抗生素都有一大环内酯的基本结构,目前已发现的有12环、14环和16环内酯结构的抗生素。其中最重要的是红霉素,红霉素具有14环内酯结构,对革兰氏阳性菌,如肺炎双球菌、白喉杆菌等有抑菌和杀菌作用,是重要的药用抗生素之一。此外,14环内酯结构的夹竹霉素也是一种药用抗生素。16环内酯结构的太罗素则是兽医用药。

公式 符号 多烯类

这类抗生素具有共轭多烯的大环内酯结构,大多有优良的抗皮癣菌和抗霉菌性能,有的还有杀原虫活性。已经研究过的有共轭三烯、四烯、五烯、六烯和七烯类型。

制霉菌素是临床使用最多的多烯内酯型抗生素。两性霉素B具有38元环的共轭七烯内酯结构,也是重要的临床用抗菌药物。这类抗生素主要是与细胞膜上的甾族化合物相结合,从而引起其通透性的改变,导致胞质内钾离子的流失,从而破坏菌体的代谢。

公式 符号 氯霉素

见氯霉素。

氨基糖苷类

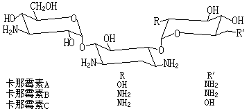
最主要的有链霉素、新霉素、卡那霉素和庆大霉素。这类抗生素都具有氨基配糖体结构单元,大多从链丝霉菌属产生,只有庆大霉素来源于小单孢菌属。这类抗生素对革兰氏阳性和阴性菌皆有效,对结核杆菌也有不同程度的效果。其中以链霉素用得较多,通常对肾和内耳具有不同程度的毒性。卡那霉素的结构式如下:

公式 符号

卡那霉素粗产品为A、B、C的混合物。B的毒性最强,发酵得到的主要是以A为主的产物。此外,临床使用的还有派尔霉素以及托拉霉素和西索霉素等。从卡那霉素 A出发半合成得到的胺卡霉素,是为了解决对卡那霉素的抗药性而发展的品种。这类抗生素往往都有交叉耐药性。

林可酰胺类

具有酰胺糖衍生物的结构。主要有林可霉素,它与二氯亚砜在四氯化碳中作用,可得到其半合成的抗生素氯林可霉素。两者的抗菌谱类似,对多数革兰氏阳性菌有效,但后者的活性比前者高四倍以上。这类抗生素的结构式如下:

公式 符号 多肽类

大多为低分子量的多肽,通常含6~12个氨基酸残基,分子量在500~1500之间,结构中往往有若干异常的氨基酸残基和D-型氨基酸残基,还常有非氨基酸残基;通常毒性较强,个别用为外用药、畜用抗生素、饲用抗生素。其中红链霉素和卷曲霉素分别可从红色链霉菌和卷曲链霉菌中分离出,有抑制结核菌生长的作用,结构式如下:

公式 符号

博莱霉素,又称争光霉素,由轮链霉菌产生,是一种含有铜的化合物,用硫化氢除去铜者具有同样的活性。它是一种重要的抗肿瘤药物。药用博莱霉素含A2约55%~70%,含B2约25%~30%,结构式如图。

图

放线菌素D,又称更生霉素,也是属于多肽型的一种抗肿瘤抗生素,结构式如下:

公式 符号

除了上述类型的抗生素外,还有多醚型抗生素(大约已发现了30种),但毒性一般较强,个别作为药用或牲畜催肥药等。还有含有类似核苷结构的抗生素和含有二苯并吡嗪环的抗生素。

参考文章