[拼音]:suiji jifen
[外文]:stochastic integral
对某些随机过程类适当定义的各种积分的总称。它们在随机过程与随机微分方程的研究和应用中各有其重要的作用。
伊藤积分这是对布朗运动定义的一种随机积分。布朗运动的样本函数虽然连续,但几乎所有的样本函数非有界变差,甚至处处不可微,因而无法按样本函数来定义通常的黎曼-斯蒂尔杰斯积分(简称RS积分)或勒贝格-斯蒂尔杰斯积分(简称LS积分)。一般来说,RS积分定义中的达布和不会以概率1收敛到一定的极限,但在适当的条件下,达布和的均方极限存在。伊藤清正是利用这一性质定义了对布朗运动的随机积分。设{
,t∈R+=[0,∞)}是一族上升的子σ域,布朗运动W={W(t),t∈R+}是(
)鞅。如果样本连续的有界随机过程φ={φ(t),t∈R+}是(
)适应的,那么当有限区间[α,b]嶅R+的分割
的直径
趋于零时,达布和
的均方极限存在,记作
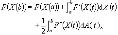
,它称为φ在区间[α,b]上对W 的伊藤积分。值得注意的是,在达布和的构造中,被积过程在[tk-1,tk]上的取值点不是随意一点,而只能是它的左端点 tk-1。这是一个严格的限制。完全不加限制时其极限不存在,如作其他的限制,则可能得到另外的极限,从而定义出另外的积分,但最有用的是这种限制。伊藤积分最重要的性质是著名的伊藤公式:设F是二次连续可微的实函数,则
这一公式及其各种推广在理论上和应用上都有重要的作用。例如,可以用来证明关于布朗运动的鞅刻画的莱维定理:一个从零出发的样本连续过程W={W(t),t∈R+}为布朗运动的充要条件,是W 和{W 2(t)-t,t∈R+}都为鞅。
对平方可积鞅的随机积分使E
的鞅x={x(t),t∈R+}称为平方可积鞅,其中x(∞)是当t→∞时,x(t)以概率1 收敛的极限。对一个平方可积鞅x, -x2是类(D)上鞅,因此根据上鞅分解定理,x 2可惟一地表成一致可积鞅M和可料增过程A 之和, X 2(t)=M(t)+A(t)。由此,对任何样本连续的有界适应过程 φ,当[α,b)]的分割
的直径δ(墹)趋于零时,达布和
的均方极限存在,这个极限就称为φ 在[α,b)]上对x的随机积分
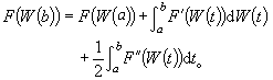
。这种积分也有相应的伊藤公式:对二次连续可微的函数F,
右边最后一项是按轨道的LS积分,可料增过程A的轨道是右连续增函数。这种随机积分还可以进一步推广到对局部鞅以至半鞅的积分。
斯特拉托诺维奇积分在伊藤积分定义的达布和中,如果用在小区间[tk-1,tk]中点的被积过程值φ
(或者等价地, 用在两个区间端点的过程值的算术平均
代替左端点的过程值φ(tk-1),则均方极限也存在,但此极限与伊藤积分不相同,它定义了用斯特拉托诺维奇命名的另一种积分,记作
这种积分的一个优点是,对一个三次连续可微的函数F,
,
它保持了普通微积分中牛顿-莱布尼茨公式的形式。
其他类型的随机积分常见的还有均方随机积分和对正交增量过程的积分。对一个均方连续的随机过程x,即对一切t0∈R+满足
的x,达布和
的均方极限存在,它定义了x在区间[α,b)]上的均方随机积分,记作
其中
是[α,b]的分割,sk可在[tk-1,tk]上任取,均方极限是在δ(墹)趋于零的条件下取的。设Z 是一个正交增量过程,即对一切

那么对任一[α,b]上的连续函数ƒ,达布和
的均方极限定义了ƒ在[α,b]上对Z的积分,记作
。这种对正交增量过程积分的最重要的应用是宽平稳过程的谱表示(见平稳过程)。
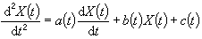
形如 
的方程称为伊藤方程,其中α(s,x)、σ(s,x)是一次连续可微的二元函数,W是布朗运动,X是待求的半鞅。由于形式上还可以将方程改写为 dx(t)=α(t,x(t))dt+σ(t,x(t))dW(t)这种微分表示,习惯上常称为(伊藤)随机微分方程。理论上对它已有很多研究,解的存在惟一性问题已经解决,并且有各种形式的推广,如用半鞅代替布朗运动等。但能把解明确表达出来的还只有少数简单的特例,如对x(0)=1,α(s,x)呏0,σ(s,x)呏x,方程
有惟一解
它是一个样本连续鞅。
此外,对于均值函数为零的实二阶过程x(见随机过程),可定义其各阶均方导数。若x的协方差函数 Г(s,t)=Ex(s)x(t)二次连续可微,则差商[x(t+Δt)-x(t)]/Δt当 Δt→0 时的均方极限总存在,它定义了x的一阶均方导数
。一般地,若 Г(s,t)2n次连续可微,则x的n阶均方导数存在。联系着一个二阶过程x及其各阶均方导数之间的方程,如
等,称为均方随机微分方程。求解它,就是要找出满足该关系式的二阶过程x。例如
在初值x(0)=ξ下的惟一解是
其中α是实常数,ξ为已知的随机变量,Y为已知的均方连续随机过程,而积分是均方随机积分。
- 参考书目
- J.L.Doob,Stochastic Processes,John Wiley & Sons.New York, 1953.
- 严加安编著:《鞅与随机积分引论》,上海科学技术出版社,上海,1981。