[拼音]:pianweifen suanzi de tezhengzhi yu tezheng hanshu
[外文]:eigenvalue and eigenfunction of partial differential operator
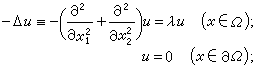
是一个典型的偏微分算子的特征值问题,这里x=(x1,x2);Ω是膜所占据的平面区域。使得问题有非平凡解(非零解)的参数λ的值,称为特征值;相应的解称为特征函数。当Ω有界且边界嬠Ω满足一定的正则条件时,存在可数无穷个特征值
,相应的特征函数ψn(x)组成l2(Ω)上的完备正交系。乘以常因子来规范ψn(x),使其l2(Ω)模为1,则Ω上的任意函数ƒ(x)的特征展式可写为:
当ƒ可以“源形表达”,即ƒ满足边界条件且Δƒ平方可积时,展式在Ω一致收敛。当ƒ平方可积时,展式平方平均收敛,且有帕舍伐尔公式:
对膜振动问题的认识还是相当有限的。能够精确地知道特征值的,只限于矩形、圆盘等少数几种非常简单的区域。对椭圆和一般三角形的特征值精确值,还几乎毫无所知。其他情形就更谈不上了。
将不超过 λ的特征值的个数记为N(λ)。特征值的渐近分布由N(λ)对大 λ的渐近式来刻画。这方面最早的结果是(C.H.)H.外尔在1911年得到的(外尔公式):
式中
表示Ω的面积。R.库朗将余项改进为
。对于多角形区域,又有人将余项改进到
。各种情况下改进余项估计的工作至今绵延不绝。外尔猜测有一个更强的结果:
式中|嬠Ω|是区域边界之长,但尚未被证出。
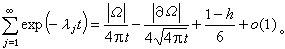
与此密切相关的是下面的MP公式:(t→+0)
取一个渐近项时,用陶伯型定理可由它推出N(λ)的外尔公式。第二渐近项与外尔猜想非常相象,但由此证不出外尔猜想。第三项迟至1966年才被M.卡茨导出,后来由H.P.麦基恩与I.M.辛格严格证明,其中h表示鼓膜Ω的洞数。
特征值与膜振动频率有一个直接的换算关系,M.卡茨据此给MP公式一个非常生动的解释:可以“听出“鼓膜的面积|Ω|、周长|嬠Ω|和洞的个数h!由于1-h恰巧是Ω的欧拉-庞加莱示性数,是整体几何中颇受重视的一个不变量,“听出鼓形”或“谱的几何”问题立即引起人们的强烈兴趣,并导致一系列重要的研究。不过一般的特征值反问题,要求从特征值的谱完全恢复Ω,还远远没有解决。
用陶伯型定理得出N(λ)渐近式的方法,由T.卡莱曼于1934年首创,他还得到谱函数的渐近式:(λ→∞)
,
式中δxy当x=y时为1,当x≠y时为0。
上述关于拉普拉斯算子的结果,由L.戈尔丁和F.E.布劳德推广到 Rn
的有界区域Ω上的m 阶椭圆算子

。尽管推算繁杂,但结果十分简单整齐:
;
;
式中 v(x) 表示集合{ξ||A0(x,ξ)|<1}的勒贝格测度,而
是A
的最高阶导数项相应的特征形式。特征展开定理亦由L.戈尔丁得出。
对于奇异情形,例如薛定谔方程
的谱问题,可以证明存在谱函数S(x,y,λ),特征展式为
。
由于可能出现连续谱,S(x,y,λ)一般不一定能写成前述特征函数双线和的形式。判定奇(异)微分算子谱的离散性是很有意义的工作。已经出现各种充分条件。不过关于特征值与特征函数渐近性质的研究,还只是限于少数特例。
在处理‖x‖→∞ 时V(x)→∞的情形,M.卡茨与D.雷等人曾创造了一种系统的概率方法,其中借助数学期望表出格林函数,有效地求出谱函数与特征值的渐近式:
。
当算子A的系数不光滑,或非一致椭圆,或非自共轭,以及边条件带特征参数或带非定域项等等情形,都出现不少研究结果。还有人考察Au=λBu型的特征值问题,
这里A、B都是椭圆算子。
除上述问题外,特征展式的收敛性与求和法也一直受到人们的关注。