大气波动

地球大气在重力、惯性力科里奥利力或层结等因素作用下所发生的各种振荡(见大气中的作用力、大气静力稳定度)。主要包括声波、重力波、惯性重力波、声重力波(见大气次声波)、行星波、开尔文波和罗斯比-重力混合波(见热带平流层波动)。

实际大气中所观测到的波动,往往是由各种不同振幅和不同波速(或频率)的单色波叠加而成的所谓波群。波群和单波的传播速度往往不同:波群传播的速度称为群速度cg,单波传播的速度称为相速度c

式中ω表示波的圆频率,k =2π/λ(λ为波长)为圆波数。由此可得:

如果ck无关,dc/dk=0,则Cg=c,说明在波的传播过程中,能量始终聚集在波内而不被分散;反之,如果c和k有关,dc/dk≠0,则cgc,说明能量随波的传播而被分散,这种现象称为能量频散,并称这种波为频散波(色散波)。

声波

在可压缩的大气中,声源的振动,使邻近空气产生压缩和膨胀,形成了具有弹性振荡性质的大气波动,称为声波(见大气声学)。它属于纵波,可以沿任一方向传播。在绝热的可压缩的空气中,其波速为

式中γ≡cp/cv为空气定压比热cp和定容比热cv之比,Rd为干空气气体常数,T(K)为平均气温。大气中的声速约为320米/秒。一般在研究大气运动时,特别是大尺度运动,不考虑声波。

重力波

在具有一定层结(空气密度或气温具有一定的铅直分布)的大气中,空气在重力和铅直惯性力作用下,围绕某一平衡位置将产生振荡现象,这种振荡向四周传播形成波动,称为重力波,它属于横波。

重力波在大气中分为外波和内波两种:

重力外波

发生于大气上下边界或理想自由面上的波动。它可以沿任一水平方向传播而强度不减,其波速为

g重力加速度为大气标高(均质大气高度)。重力外波相当于一般流体中的浅水波,是一种快波。其波速接近于300米/秒,波长远大于流体的深度。

重力内波

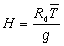
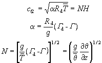
发生于稳定层结大气中的波动。在这种大气中,起始位于气压为P0高度的气块(图1)受扰动之后,铅直向上移动到气压为PA的高度时,气块温度因干绝热膨胀而下降到TA,它低于环境温度T′A。这时,产生的净阿基米德浮力,使该气块不能继续上升。气块在重力作用下,又开始返回,到达起始位置Po,这时因为惯性的缘故,它越过Po继续下移,在下移的过程中,它因干绝热压缩而增温,到PB的高度时具有气温TB,因为TB高于环境空气的温度T′B,气块又将在净阿基米德浮力作用下重新向上运动。如此,气块将围绕平衡位置(P0所在的高度)振荡,就形成了重力内波。它可以同时在水平方向和铅直方向传播,其波速为其中z 为高度,为环境空气的平均位温,N 为布伦特-维赛拉(Brunt-Visl)频率。

图

重力内波是大气小尺度运动(水平尺度l的量级约为10公里)过程中的主要波动,许多小尺度的天气现象(见中小尺度天气系统),都和重力内波的活动密切相关。

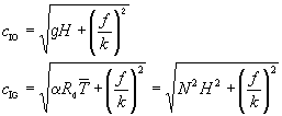
惯性重力波

具有一定层结的大气,在重力和科里奥利力的作用下形成的波动。它和重力波一样,也可分为惯性重力外波和惯性重力内波两种。它们的波速分别为

f为科里奥利参数。惯性重力外波和惯性重力内波都是频散波,它们的群速度分别为

惯性重力内波是大气中尺度运动(水平尺度l的量级约为102公里)过程中的主要波动,许多中尺度的天气现象都和惯性重力内波的活动密切相关。

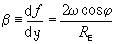
长波

当西风带气流有南北扰动时,由于科里奥利参数f随纬度变化而产生的大气波动。因为地球大气中的这种波动最早是由瑞典气象学家 C.-G.罗斯比研究的,所以又称为罗斯比波。这种波的水平尺度与地球半径相当, 所以又称行星波。 揭示行星波特征的主要参数为,称为罗斯比参数,它表征科里奥利参数f随纬度的变化(RE为地球平均半径,ω为地球自转角速度,φ为纬度)。行星波主要是在β的作用下产生的:根据绝对涡度守恒(见大气动力方程)原理,对起始位于O点的气块(图2),设其初始铅直涡度ξ为零,气块运动速度的南北分量为v。在它受扰动之后,略为向北(v>0)移动而达到A点的过程中,f(=2ωsinφ)增大;但因绝对涡度守恒,ξ 将从0变成负值,使气块的轨迹形成反气旋式的弯曲。气块再向北移动,到达B点时,反气旋式涡度达最大值,这时v =0,气块不能继续向北,转而向南运动(v<0)。在这个过程中,f减少,但因绝对涡度守恒,使铅直涡度逐步增加。当它到达和O 点纬度相同的C 点时,ξ重新变为零;随后再向南移,f继续减小,ξ又变为正量,使气块的轨迹形成气旋式的弯曲。它到达D点时,气旋式涡度达最大值,v=0,该气块又转而向北运动。如此不断地进行,就形成了长波,并向东(或西)传播。

图 长波的移动

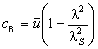
在正压无辐散的大气中,如果纬向西风的平均速度ū 为常数,则长波的波速可表为

这就是著名的罗斯比长波公式,其中kl=2π/λ(λ为波长)为纬向圆波数。在中纬地区,长波的波速和基本西风气流速度的量级相当。

长波的波长愈大,移动速动愈慢。静止或驻定的长波(CR=0),其波长为

λs可视为长波的临界波长,此时其波速可表达为

由此可见,当λ<λs时,长波向东移动,而当λ>λs时,长波向西移动。

长波的能量频散

长波是频散波,其群速度为

因此CrgCR。所以,在长波中存在能量频散的作用。如果CRgCR>0,上游波的能量将先于该波传到下游,促使下游有新的波动产生,或使下游原有的波动得到加强,这就是天气学中的上游效应。

长波是大尺度运动中的主要波动,是近代动力气象学中最重要的发现之一。长波理论的建立,为近代数值天气预报奠定了物理基础。

参考书目
  1. J. Pedlosky , Geophysical Fluid Dynamics ,Springer-Verlag,New York,1979.
  2. G.J.哈廷纳著,北京大学地球物理系气象专业译:《数值天气预报》,科学出版社,北京,1975。G.J.Haltiner,NumericalWeather Prediction,John Wiley & Sons,New York,1971.
  3. 郭晓岚讲授,朱伯承整理:《大气动力学》,江苏科学技术出版社,南京,1981。