[拼音]:gaofenzi jiaolian
[外文]:crosslinking of polymers
高分子链间形成新的连接键而生成网状结构高分子的反应。利用化学试剂引发的交联反应称为化学交联,通过光、射线引发的交联反应分别称为光交联和辐照交联(见高分子辐照交联)。天然橡胶硫化是化学交联最早的应用实例。交联反应有下列三类。
自由基型化学交联包括:
(1)自由基相互结合直接形成碳-碳键,如聚乙烯用过氧化物引发剂在一定温度下产生自由基而引发的交联反应;
(2)氧化交联,如含有双键的油类在空气中进行的自动氧化而发生的交联反应;
(3)添加带有多官能团的试剂进行交联反应,如添加带有多官能团的双马来酰亚胺、多硫化物或三烯丙基异氰酸酯等化合物,可加快交联反应速率;
(4)接枝交联,如不饱和聚酯树脂和烯烃在引发剂作用下进行反应,形成交联的高分子。
离子型化学交联(1)路易斯酸催化的交联,如聚氯乙烯在路易斯酸(如AlCl3或FeCl3)存在下,在极性溶剂中的交联反应:
(2)脱卤交联反应, 丁基橡胶中含有少量异戊二烯,可先氯化,然后利用烯丙基氯的活泼性,再进行脱卤交联反应:
氟橡胶在胺类存在下的交联反应则是通过脱氟化氢反应进行的。
具有化学反应官能团的高分子的交联(1)环氧树脂的交联反应:
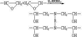
(2)聚乙烯醇与甲醛反应,除分子内部能形成缩醛外,分子间也能起作用发生交联。
交联反应对性能的影响交联反应会降低高分子链间的滑动能力,如果交联密度不太高,非晶态高分子就变得更有弹性。交联密度增加,抗拉强度也有所增加,但达到一定交联程度后下降;随着交联密度的增加,伸长率和溶胀度降低,模量、硬度及玻璃化温度上升。当交联密度很高时,可得到硬度很高的产物。结晶高分子少量交联后,由于链取向困难而使结晶度和熔点下降,并且变软,弹性增大。交联密度可以用溶胶分数、平衡溶胀法、压缩模量法测定。高分子交联成网状结构以后,就变成不溶、不熔的化合物。交联反应有利于提高使用温度,克服高分子蠕变行为及应力开裂现象。