岩石强度

岩石在外力作用下达到破坏时的极限应力,岩石力学性质的主要属性之一。它是通过实验室内或现场的试验求得的。在岩石力学中,岩石一词是岩块和岩体的总称。岩块是指由地质构造因素割裂而成的不连续块体,是岩体的组成单元。实验室试验用的岩样就是岩块。岩体是指包括地质结构的地质体的一部分。虽然岩块和岩体具有相同的地质历史环境,经历过同样的地质构造作用,但它们的性质是有区别的。反映在强度方面,岩块的强度主要取决于构成岩石的矿物和颗粒之间的联结力和微裂隙的影响;而对岩体强度起控制作用的则是岩体中的结构面和构造特征。

岩石强度一般包括单轴抗压强度、抗拉强度、抗剪强度(包括直剪强度、双轴抗剪强度和三轴抗剪强度),其中抗剪强度和抗压强度往往是确定岩石工程稳定性的主要因素。

单轴抗压强度

无围压岩样在纵向压力作用下出现压缩破坏时,单位面积上所承受的载荷称为岩石的单轴抗压强度。室内单轴抗压强度试验通常在压力机上进行。现场岩体单轴抗压强度试验往往在岩柱或矿柱上进行。岩石受压后直到完全丧失其强度时的性质可用图1所示的载荷-变形全过程曲线来表示。但在普通试验机上不可能获得破坏后的曲线。因为当应力超过峰值,试验机组件本身在施压过程中所贮存的弹性能量便会释放出来,使试件受到很大的附加应变而迅速压坏,所以只能获得峰值应力以前的载荷变形曲线。70年代出现了伺服控制刚性试验机,一方面增大试验机的刚度,另方面可在试验过程中通过反馈系统控制样品的变形而求得载荷变形的全过程曲线。岩石破坏后表现出承载能力的降低,主要是样品破裂导致有效面积减少而引起的。载荷变形全过程曲线表明岩石破坏后仍具有一定承载能力这一特性,在研究岩石工程的稳定性中有重要价值。

室内岩块单轴抗压强度经验数据见附表。

图 图

抗拉强度

岩石样品在拉力作用下达到破坏时的极限应力值。岩石的抗拉强度远比抗压强度小,因此在岩石钻进、爆破等方面,拉伸破坏成为一种值得研究的重要现象。

岩石抗拉强度试验方法可分直接法和间接法两类。

直接法

与用于金属试验的方法类似。这种试验要求夹持器不损伤试件表面,施加载荷应严格地与试件轴相平行,以免产生弯曲所导致的应力集中

间接法

此法种类较多,常用的有圆盘、圆柱体径向压裂法。圆盘径向压裂法是著名的“巴西试验”,即用一个实心圆盘,使之受径向压缩而破坏,求抗拉强度。圆柱体径向压裂法通常是用两个接触点对圆柱体加压求抗拉强度。

在工程实践中,由于岩体具有裂隙,一般不考虑抗拉强度。

抗剪强度

岩石在外力作用下达到破坏时的极限剪应力。抗剪强度试验方法包括室内试验和现场试验两类。

室内试验

室内抗剪强度试验常用的方法有直接剪力试验、 扭转试验和三轴试验三种。 ①直接剪力试验:这种试验特别适用于岩石结构面和软弱夹层抗剪强度的测定,装置如图2a。取一组试件分别在不同的正应力下进行试验,试验结果如图2b。图中C称为岩石的凝聚力,ф 称为岩石的内摩擦角。

(2)扭转试验:将圆柱状试件或两端为方形的柱状试件夹紧在扭转试验机上,施加扭力,最大剪应力发生在试件最外圈。

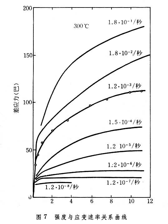
(3)三轴试验:天然岩体是处于三向应力状态下。在三向应力状态下的岩石强度,对于岩基承载力的计算、地下建筑物和坝工设计、褶皱和断层机理研究以及深孔钻探研究都很重要。三轴试验方法包括轴对称应力状态的普通三轴试验(σ1>σ2=σ3),真三轴试验(σ1σ2σ3),空心圆筒的压缩或扭转三轴试验。试验受力状态如图3所示。 图中粗箭头表示通过物体各个端面的压力或扭力;细箭头表示液压的压力。三轴试验需要一套专用加载装置、三轴压力室、稳压装置和变形测量设备。为了测定岩石应力达到峰值以后的应力与应变关系,必须采用伺服控制刚性压力机。现代岩石力学已逐步向地学领域发展。地壳岩石常处于高温高压状态,因而发展出高温高压三轴试验。目前国际上进行的高温高压三轴试验,侧压可达数万巴(1巴=105帕),温度高达1000℃。实验证明,随着围压的增大,岩石的强度增加并由脆性向韧性转化。图4为高压三轴试验结果(曲线上的数字为围压)。 图5为花岗岩在加载期间相对体积变化和平均压力的关系(曲线上的数字为围压)。在地壳下,温度随深度而增加,而温度对岩石强度也有很大影响。 图6是地壳中最常见的花岗岩和玄武岩的强度和温度的关系,所有曲线都是在相同的围压条件下获得的。可以看出,随着温度的增高,岩石强度下降,并由脆性向韧性转化。地壳的应变速率极低,约为10-14~1020-1。应变速率对岩石强度也有较大影响。 图7为岩盐在300℃、 2000巴围压下强度与应变速率的关系曲线。从图上可以看出,在高的应变速率下有明显的硬化阶段,且强度较高。随着应变速率的降低,岩石逐渐向韧性转化,强度也降低。

图2 图3 图4 图5 图6 图7 现场试验

现场岩体抗剪强度试验一般在平洞中进行,通常分为直剪试验和三轴试验。直剪试验较多用于软弱岩石、结构面或软弱夹层。这两种试验的方法与室内的试验方法大体相同。

(1)现场岩体直剪试验:试件受剪面积一般不小于2500平方厘米。国际上最大的试验面积达100平方米。 这种试验较多用于软弱岩石结构面或软弱岩层。

(2)现场岩体三轴试验:试件多为棱柱体,试验方法与室内三轴试验大体相同。

岩石强度准则

岩石材料可分为脆性和韧性两类。岩石材料在常温常压下一般属于脆性材料。目前常用的强度准则为库仑-纳维准则、莫尔准则和格里菲思准则。

库仑-纳维准则(1773)

这个准则假定对破坏面起作用的法向应力会增加材料的抗剪强度,其增加量与法向应力的大小成正比。 就二向情况而论(图8),

图

στ是作用在破坏面上的法向应力和剪应力,则根据这个准则,作用在这个面上的剪应力达到下列数值时将发生破坏:

τθ|=τt+μσθ

式中τt为材料的抗剪强度;σθ为破坏面上的法向应力。μσθ类似斜面上的摩擦力,故μ可称为内摩擦系数。在三轴或双轴试验中,这个准则用法向应力和剪应力来表示则为:

公式 符号

用岩石材料的抗压强度σc和抗拉强度σt来表示则为:

公式 符号

此即图9中AB线的关系式。材料不发生破坏的σ1σ3值必定在ABAC两线之间的范围内。在ABAB两线范围以外的σ1σ3值,将使材料发生破坏。岩石的μ 值的变化范围为1.0~2.5。据此,岩石的抗剪强度约为抗压强度的0.1~0.2倍。

图 莫尔准则(1900)

由三轴试验测定抗剪强度要作一组试件的试验,从而求得在不同围压(σ3)下的强度值(σ1),并可绘出一组莫尔圆,其公切线称为莫尔包线,包线嶖与τ轴的截矩(τt)为岩石的凝聚力,包线的坡角(φ)为岩石的内摩擦角,如图 10所示。包线的物理意义是:由莫尔圆所代表的任何应力状态在包线以下时,岩石材料不会破坏;反之,如果莫尔圆有些部分超出包线,则必将超过材料的临界应力;当莫尔圆与包线相切时,则材料会在与大主应力成θ夹角的面上发生破坏。还应指出,岩石的长期强度比上述瞬时强度低。

图 格里菲思准则(1921)

这个准则是以岩石材料中存在细微裂纹为前提的。当材料受到应力时,裂纹尖端产生拉应力集中;当尖端或其附近的拉应力达到某一临界值时,裂纹开始扩张,最后导致破坏。这个理论首先为对玻璃的试验所证实。格里菲思准则可以用下述抛物线形的莫尔包线来表示:

τ公式 符号+4σtσθ=4σ公式 符号

虽然某些沉积岩具有非线性的莫尔包线,但就更多的脆性岩石来说,在压缩时普遍具有线性的莫尔包线。此外,格里菲思裂纹周围的应力集中是根据弹性理论计算出来的,因此破坏机理与时间无关,没考虑强度随应力速率或应变速率而变化的因素。F.A.麦克林托克、J.B.沃尔什和W.F.布雷斯遂加以修改,称为修正的格里菲思理论,使适用于压应力很高的双轴条件,其压应力足以使裂纹闭合,因此在裂纹表面上有摩擦力的作用。经过修改的格里菲思准则包括两个临界值:以抗拉强度表示的裂纹尖端处的临界应力;裂纹表面之间的摩擦系数。这个准则的表达式为:

公式 符号

式中μ为裂纹表面的摩擦系数;σcr 为垂直于裂纹并使裂纹闭合所需的应力。库仑-纳维和莫尔准则规定了破坏时作用的应力之间的相互关系,并可通过各类岩石试验来检验这种关系。但这两个准则并没有假定任何导致破坏的内在机理,因而不能使最终破坏同它的物理数据联系起来。格里菲思准则指出了内在机理并提出数学模型。但对岩石来说,因为这些数据难以测量,所以须采取经验方法,即根据抗压和抗拉强度以及裂纹面上的摩擦系数来评价这个准则。