邓克利公式

计算振动系统最小固有频率(即基频)下界的一个经验公式,是S.邓克利于1894年在研究旋转轴的临界转速时从实验结果中导出的,因而得名。

考虑由连续体(例如梁、板等)和其上 n个集中质量组成的系统,f0为不计集中质量时该连续体的基频,fi为只计第i个集中质量,不计其余集中质量和连续体质量时单自由度系统的固有频率,则邓克利公式为:

公式 符号

式中f是整个系统的基频的近似值,它小于准确值。若系统是不计连续体质量的n自由度离散系统,则作为上式的特殊情形,右端求和从1至n。邓克利公式可用理论加以证明,而且由该公式求出的基频和实际基频的相对误差同实际基频和第二阶固有频率之比的平方属于同一量级。

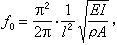
计算一个如图 1所示的两端置于轴承上而跨中有一圆盘(质量为m)的轴的基频,可将轴简化为如图 2所示的跨中有一集中质量的等截面简支梁。当不计集中质量时,该梁的基频为:

公式 符号

式中l为梁的长度;A为梁的截面积;EI为梁的弯曲刚度;ρ为梁材料的密度。只计中间质量,不计梁的质量时,梁相当一根无质量的弹簧,这个单自由度系统的固有频率为:

公式 符号

如果圆盘质量和轴的质量相等,即mρAl,则

公式 符号

这样,将f0f1代入邓克利公式,得:

公式 符号

而这个梁系的最小固有频率的准确值为:

公式 符号

此外,在邓克利公式的基础上还可导出精度更高的计算公式。

图1 图2
参考书目
  1. W.T.Thomson,Theory of Vibration with Appli-cations,2nd ed.,Prentice-Hall,Englewood Cliffs,New Jersey,1981.