[拼音]:Hezi zhenzi de fushe
[外文]:radiation of a Hertzian doublet
“赫兹振子”是指H.R.赫兹于1887年所发明的原始辐射系统,它由两块40厘米见方的平行金属盘电极和两根30厘米长的金属杆火花间隙放电器组成,用导线和感应线圈相连接以供给高压电,利用振子自身的电感电容产生衰减的高频振荡(图1a)。这种振子也可以用金属圆球来代替金属盘(图1b)。这两种振子现代统称为电容性加载的电偶极子振子,以区别于两终端电流为零的无载振子(图1c),它们都是中心馈电的半波振子的原始形式。当两个大小相等,符号相反的电荷+q与-q相隔一个小距离α (这里,α
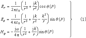
λ,λ是振荡波长)时,定义电偶极矩E=qα。当E 随时间t呈周期性变化时,偶极振子就处于振荡之中,它是最简单的球面波源。可直接应用麦克斯韦方程组并结合具体的边界条件对于这类振子的辐射问题求解。但是,由于数学上的困难,赫兹只是对振子的长度α远小于波长λ的情况下,求出了近似解。这时的辐射就是电偶极子辐射。在简谐激励下,在自由空间中的电磁场为
其余场分量为零。式中ε0是真空介电常数,
k=ω/с是波数,
是真空中的光速,μ0是真空的磁导率,
,P0=q0α,q0是振荡电荷的振幅值,当kr
1时,振子的场为
(2)
除了随时间而变化外,场的空间分布和静电偶极子情况相似,称为振子的近区场;当kr
1时,振子的场分量为
(3)
由此可得
Eθ、Hφ、r(传播方向)彼此相互垂直并符合右手定则。这种场称为远区场。
振子所辐射的功率可由周期平均坡印廷矢量
求出
(4)
的方向沿着传播方向r(r1是沿r方向的单位矢量)。因此,沿着振子轴线方向(θ=0),|
|=0;而在垂直于振子轴线的赤道面内
,|
|为最大。这些结果均为实验所证实。
图2a表示在远区场中某一固定点r处,位于坐标原点赫兹振子的辐射场E,H和传播方向r三者的方向关系;图2b表示│E│(或│H│)与
的方向图形,其中,外曲面与内曲面分别表示 sinθ与sin2θ的极坐标图形。从振子中心到曲面上某点的矢径长度和沿这方面的sinθ或sin2θ的大小成正比。
“赫兹图”给出了不同时刻赫兹振子周围空间的电力线分布,如图3a~e所示。
图4表示在某一时刻t赫兹振子的电力线和磁力线分布。
- 参考书目
- H.Hertz,Electric Waves,McMillan, New York,1894.
- J. A. Stratton, Electromagnetic Theory,McGraw-Hill, New York, 1941.