β衰变

原子核自发地放射出β粒子或俘获一个轨道电子而发生的转变。放出电子的衰变过程称为β-衰变;放出正电子的衰变过程称为β+衰变;原子核从核外电子壳层中俘获一个轨道电子的衰变过程称为轨道电子俘获,俘获K层电子叫K俘获,俘获L层的叫L俘获,其余类推。通常,K俘获的几率量大。在 β衰变中,原子核的质量数不变,只是电荷数改变了一个单位。

β衰变的半衰期分布在接近10-2秒到1018年的范围内,发射出粒子的能量最大为几兆电子伏。β衰变不仅在重核范围内发生,在全部元素周期表范围内都存在β放射性核素。因此,对β衰变的研究比α衰变的研究更重要。

β衰变中,原子核发生下列三种类型的变化:

其中X和Y分别表示母核和子核,AZ为母核的质量数和质子数,e-和e+为电子和正电子,v和堸为中微子和反中微子。

β衰变能分别表示为

其中mxmy为母核原子和子核原子的静止质量,me为电子的静止质量,Wi为轨道电子结合能,с为光速。

轨道电子俘获过程所形成的子核原子,由于缺少了一个内层电子,原子处于激发状态,它可以通过不同方式退激。对于K俘获,当L层电子跳到K层填充空位,可以发射标识X 射线,或称特征X 射线。它的能量是 K层和L层电子的结合能之差hv=Wk-WL;当L层电子跳到K层空位时,也可以不发射标识X射线,而把能量交给另一个L层电子,使其克服结合能而飞出,这种电子称为俄歇电子,它的动能Ee=hv-WL=Wk-2WL。轨道电子俘获总伴随有标识X射线或俄歇电子的产生。

β衰变的电子中微子理论

β衰变中放出的β粒子的能量是从 连续分布的。为了解释这一现象,1930年,W.泡利提出了β衰变放出中性微粒的假说。1933年,E.费密在此基础上提出了β衰变的电子中微子理论。这个理论认为:中子和质子可以看作是同一种粒子(核子)的两个不同的量子状态,它们之间的相互转变,相当于核子从一个量子态跃迁到另一个量子态,在跃迁过程中放出电子和中微子。β粒子是核子的不同状态之间跃迁的产物,事先并不存在于核内。所以,引起β衰变的是电子-中微子场同原子核的相互作用,这种作用属于弱相互作用。这个理论成功地解释了β谱的形状,给出了β衰变的定量的描述。

β跃迁几率

根据量子力学的微扰论,费密理论给出单位时间发射动量在pp+dp间β粒子的几率为

, (1)

式中g是弱相互作用常数,Mif是跃迁矩阵元,啚是普朗克常数h除以2πF(ZE)是库仑改正因子,它描述核的库仑场对发射β粒子的影响,是子核电荷数Z和β粒子能量E的函数。跃迁几率的大小主要由跃迁矩阵元|Mif|的大小决定。

β跃迁分类

根据跃迁矩阵元的大小,可将β跃迁分为容许跃迁、一级禁戒跃迁、二级禁戒跃迁等。级次越高,跃迁几率越小;相邻两级间,几率可以相差几个数量级。

费密理论给出β衰变对母核同子核间的自旋和宇称变化的选择定则:对于允许跃迁,自旋变化|ΔI|=0,1,宇称变化 Δπ=+1;对于一级禁戒跃迁,|ΔI|=0,1,2,Δπ=-1;对于二级以上的如 n 级禁戒跃迁,|ΔI|=nn+1,Δπ=(-1)n

β衰变的居里描绘

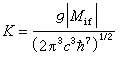
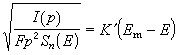
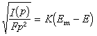
在β衰变的研究中,常将式(1)改写为

, (2)

式中。对容许跃迁,|Mif|与β粒子的能量无关,K为常数。此时若以为纵坐标,E为横坐标作图,则得一条直线。直线同横轴的交点为β粒子的最大能量Em。这种图称为居里描绘,也称费密-居里图。这样,居里描绘可用来精确地测定Em。此外,也可用来分解复杂的β谱。对于禁戒跃迁,Mif往往不是常数,则按式(2)作图时不是一条直线。这时可引入一个同 β粒子能量有关的因子Sn(E)对居里描绘进行改正,即把K中同能量有关的因子分出来,,使K┡为常数。此时式(2)可写成

改正后的居里描绘取E作图,仍是一条直线。Sn(E)由理论可以计算。因而,通过理论同实验的比较,可决定Sn(E),从而可以定出禁戒跃迁级次n

萨晋关系

通过对β粒子动量分布式(1)的积分,假定跃迁矩阵元Mif同β粒子能量的关系可以忽略,便得到β衰变常数λ或半衰期T½

,(3)

式中f(ZEm)称为费密积分函数。pm为电子的最大动量。当β粒子的最大能量远大于它的静止能量,并且可以忽略核的库仑场对发射β粒子的影响时,,从而可得关系 。这一关系称为萨晋关系,它表示β衰变常数(或半衰期)随β粒子的最大能量Em的变化而剧烈地变化。

由萨晋关系可见,仅仅以半衰期(或衰变常数)的大小不能反映β跃迁的级次。因此需要引入比较半衰期fT½

由于fT½值与|Mif|2成反比, 而|Mif|2的大小对不同级次的跃迁有很大差别,从而fT½值可用来比较跃迁的级次。这就是称fT½为比较半衰期的由来。

实验测得的各级跃迁的lgfT½值大致范围如下:

跃迁级次     lgfT½

容  许     3~6

一级禁戒     6~10

二级禁戒     10~13

三级禁戒     15~18

β衰变中的宇称不守恒

在β衰变的研究中的一个重要的突破是1956年李政道和杨振宁提出的弱相互作用中的宇称不守恒,第二年吴健雄等人利用极化核 60Co的β衰变实验首次证实了宇称不守恒,这一发现不仅促进了β衰变本身的研究,也促进了粒子物理学的发展。

参考书目
  1. 卢希庭主编:《原子核物理》,原子能出版社,北京,1981。
  2. P. Marmier and E. Sheldon, Physics of Nuclei and particles, Academic Press, New York andLondon, 1969.
  3. E. Segrè, Nuclei and particles,2nd ed.,W. A.Benjamin,Reading, Mass., 1977.