[拼音]:haosan jiegou
[外文]:dissipative structures
一定条件下,非孤立系在远离平衡态的过程中,经过突变而形成的新的有序结构。它是系统远离平衡态时的相变现象。耗散是指系统维持这种新型结构需要外界输入能量和物质,所以,系统形成耗散结构的过程在时间反演上是不可逆的。
形成的条件对于非孤立系,熵的变化由两部分组成,一部分是由于同外界有能量和物质交换而引起的熵流deS,另一部分是由系统内部的不可逆过程(如热传导、扩散、化学反应等)引起的熵产生diS。总的熵变为dS=deS+diS。在定态时,有
。由于系统内部的不可逆过程,使得
,故非平衡定态单位时间的熵产生必须由负的熵流补偿,若由能量、物质交换补偿的负熵流愈大,则非平衡定态离开系统原先的平衡态就愈远,且定态的熵比初态的熵愈小。这就造成远离平衡态时出现有序构象的可能性。
从熵S同热力学几率(或称系统的微观状态数) Ω的关系S=klnΩ看出,由于无序态比有序态的微观状态数多,所以高熵态对应于系统的无序态,低熵态对应于有序态,因而系统在平衡态时是无序的,非平衡态时是相对有序的。非孤立系偏离平衡态到远离平衡态时,就从无序向有序演化。
在平衡态附近和离平衡态不远的非平衡区域里,相对有序是不稳定的,系统仍趋向于平衡态,或非平衡稳定态,这时不可能发生突变,因而不可能形成耗散结构。因为在平衡态附近,由内部引起的小涨落对宏观系统说来可以忽略,即使涨落不可忽略,也还不可能导致突变,或者外部的短暂小扰动经过弛豫过程仍然会回到平衡态。若外界因素使系统处于非平衡态,可把非平衡系统分成许多宏观小、微观大的区域,使每个局域区可近似地看作是平衡的,平衡态的各种热力学关系仍然适用于各个局域区。以Sv 表示单位体积的局域熵,则系统的熵为,
,这里对系统的整个体积积分。非平衡系统中局域熵的连续性方程是
(1)
其中ji是熵流密度,σ是单位体积和单位时间内的熵产生。系统的熵产生率为
。 (2)
按热力学第二定律总有σ≥0,故P≥0。但是在局域平衡近似下,σ可表为
σ=∑iJiXi, (3)
且
Ji=∑jLiXj (4)
Lij=Lji, (5)
其中Ji表示某种广义流(如热流、扩散流等), Xj是引起这种流的各种广义力(如温度梯度、浓度梯度等),系数间的关系 (5)称昂萨格倒易关系。广义流同广义力间的关系(4)是线性关系,它所反映的非平衡态区域称线性区域。利用式(4)和式(5),可以得出
。 (6)
所以,在线性区域,系统内部的不可逆过程总是使单位时间的熵产生值减小,直到系统熵产生率是极小时的态。在这个态上,若由于涨落而有所偏离,那么将发生内部变化使体系回到原来的态,所以熵产生率极小的态是稳定态。简言之,定态是熵产生极小的态,这称为最小熵产生原理。所以,在离平衡态不远的非平衡线性区域里,不可能发生突变,使系统过渡到新的定态而呈现耗散结构。若把熵产生率选作判别系统稳定性的里雅普诺夫函数,也能得出这个结论。
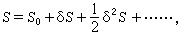
把熵S(或P)按平衡时的值展开
(7)
在远离平衡的非线性区取δ2S作为里雅普诺夫函数,在局域平衡的近似下可证明δ2S≤0。此时,按里雅普诺夫理论,若
大于零,系统是稳定的;小于零,系统则不稳定;等于零,是临界情况。如果非线性系统的δ2S的变化率有可能实现从稳定到不稳定的突变,则在不稳定性上可呈现新的结构,即耗散结构。所以,耗散结构的出现是系统远离平衡的一种非线性效应。
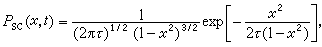
热力学理论无法阐明形成耗散结构的机制及系统的涨落等特性,这些内容必须用非平衡态统计力学去研究。铃木增雄用福克-普朗克方程得到了一个触发耗散结构的图像,他讨论的方程是
(8)
其中P(x,t)代表在t时刻粒子数为x的概率分布;C1(x)是x的非线性函数,它描写系统的非线性特性;ε是个小量,它反映随机力。取P(x,t)的初始分布为高斯型并当C1(x)=γx(1-x2)时,铃木增雄得出方程(8)的近似解为
(9)
式中τ∞ε exp(2γt),下标SC表示铃木增雄所采用的标度近似。式(9)显示,经过一定时间间隔,概率分布函数Psa(x,t)将从初始的高斯分布变为一个有双峰的分布(见图)。这表明系统经历了一个突变,这个突变过程也就是耗散结构形成的过程。由此可以进一步讨论触发宏观结构的特征时间、临界慢化现象、涨落的增长等等。
耗散结构的理论,主要基于对非线性方程解的分支点的分析,进而研究系统的稳定性问题。譬如稳定还是不稳定,在什么情况下失稳等等,而分支现象与这些讨论直接相关。虽然目前基本上处于宏观描述阶段,但也取得了一定程度的进展。在建立和发展远离平衡区的理论方面,比利时的普里戈金学派、联邦德国的哈肯学派、日本的久保-铃木学派都作出了重要贡献。耗散结构理论,可用于流体、激光等系统,还可用于如化学反应中的有序结构、生物进化、核反应过程、生态系统中的人口分布、环境保护乃至交通运输、城市发展等问题的研究。