[拼音]:Angsage daoyi guanxi
[外文]:Onsager reciprocal relations
描述不可逆热力学过程的线性唯象定律中各系数间的倒易关系。它是粒子微观运动方程的时间反演不变性在宏观尺度上的反映。这个关系是1931年由L.昂萨格建立,后经H.B.G.卡西米尔发展,扩充了它的适用范围。
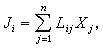
人们常用“流”和“力”来说明不可逆过程。在扩散过程中的物质流密度,热传导中的热流密度,化学反应中的反应速度等都称为流,用Ji(i=1,2,…,n)表示。引起流的相应力为浓度梯度、温度梯度、化学亲合力等用Xi(i=1,2,…,n)表示。在线性区它们的关系唯象地写为
唯象系数Lij为常数。昂萨格发现,唯象系数矩阵是对称的,即
Lij=Lji,
这就是著名的昂萨格倒易关系。这个关系的存在不依赖于具体物质,或具体过程,在线性不可逆过程中具有普遍意义,因而成为线性区非平衡热力学的主要基础之一。
昂萨格倒易关系应用于实际问题时,得到了很好的验证。其中对温差电偶和力热现象的研究是它成功的突出例证。
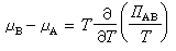
温差电偶效应用两种不同金属A、B焊接形成闭合回路,人们发现了塞贝克效应、珀耳帖效应、汤姆孙效应(见温差电现象)。利用昂萨格关系可以证明,塞贝克系数、珀耳帖系数、汤姆孙系数都满足普遍的关系式,即汤姆孙第一关系
和汤姆孙第二关系
ΠAB=SABT。
而这两个关系已为实验证实,所以昂萨格关系的正确性也就得到了证实。
费德森效应实验发现系统中不同区域的温度不仅造成热流,也会引起粒子流
Jn=λ│ΔT│
式中λ 称为热力系数。这种效应称为费德森效应,也叫热力效应。同时发现压差不仅引起粒子流,也产生热流
JQ=K│Δp,
式中K称为力热系数。利用昂萨格关系可以证明
K=λTv,
式中v为物质比容。尽管λ和K 随物质性质而异,但实验证实上述关系在不可逆过程的线性区是普遍成立的。