[拼音]:lianluolun
[外文]:theory of connection
定义在纤维丛上的一个重要的微分几何概念,它起源于黎曼流形的列维-齐维塔联络,后来被扩充到一般的具有流形结构的纤维丛上去,对研究各种几何空间的性质,确定纤维丛的拓扑结构,都有重要作用。它还和理论物理中的规范势等价。
局部向量丛(乘积向量丛)上的联络设U是微分流形上的一个坐标邻域,局部坐标为x=(x1,x2,…,xn),F是一个m维实(或复)向量空间,称
为以U 为底F 为标准纤维的乘积丛。由于F 是向量空间,U×F是一个乘积向量丛。
为U×F到U 的投影算子。设有可微分映射 σ:U→U×F 使 

,就称映射σ为一截面(也可称为向量场)。若σ1,σ2,…,σm是m个截面,相应的φ1(x),φ2(x),…,φm(x)对每一x均为线性无关,就称{σ1,σ2,…,σm}为一个截面基,简称基, 那么任何一截面σ(x)均可表示为

。丛U×F的线性联络关于取定的一个基{σα}是由一系一次微分形式 

所定义的,Г
称为这个联络关于基{σα}的联络形式,
称为联络系数。线性联络可起如下的作用。
(1)利用它可作出截面的协变微分:
(1)而
, (2)称为截面σ的协变导数。更一般地说, 若
是U的一个切向量,则
称为σ关于切向量的协变导数。为保持Dσ(x)和墷iσ与基的选取无关起见,在以基{
α}来代替{σα}时
·
相应的联络形式慘
和Г
之间应满足下面的关系:
, (3)
这里
是A=(α
)的逆阵A-1的元素。(3)称为联络形式在基变换下的变换规则。
(2)用联络可以定义U×F上的元素依底空间U上的曲线C:x=x(t)的平行移动。若(x(t),vα(t))是U×F中依赖于t的一列元素而vα(t)满足
(4)
则称这一列元素依C 平行移动,或称U×F上的曲线C1:(x(t),vα(t))是U 中曲线C的水平提升。
以Г
为元素作m×m 阵Г=[Г
],则联络就成为取值于李代数gl(m,R)(或gl(m,c))的一次微分形式,这时(3)可写成为
(5)
的形状。又称
(6)
是线性联络的曲率形式,这里∧是外积,
对固定的i,j而言是m×m 阵。
线性联络的一个最重要的特殊情形是黎曼流形的列维-齐维塔联络或称黎曼联络(见黎曼几何学)。设U是黎曼流形M的一坐标邻域(假设它与球内部相同胚),考察U上各点 x的切向量的全体得出一个以U为底的乘积丛U×F,它是M的切丛TM的一个部分,其中元素为(x,v),x∈U,v属于一个n维向量空间,当x固定时,(x,U)构成x点的切空间Tx。U×F的截面就是 U上的切向量场。又选取
为截面的基(称为自然标架),那么, 列维-齐维塔联络由
来表示,这时联络系数由
(7)
决定,此即第二类克里斯托费尔记号。式中 gjk, gil是黎曼流形上度量张量的反变和协变形式。上述的平行移动、曲率等概念就和黎曼几何中的意义相一致。如不采取自然标架,而采取另外的基{ei},利用(5)就可以得到相应的联络形式。特别,如选取ei,使它们在各点都是单位、正交的(即选取正规正交标架),那么Г就是反对称阵,即Г取值于正交群的李代数,这时每点x的切空间具有欧氏结构,即正交群作用下不变的结构。
向量丛上的联络以微分流形M为底的向量丛
M是由一些乘积向量丛粘合而成的(见纤维丛)。设M为一些坐标邻域所覆盖,M=∪Up(p=1,2,…),每一UP上有一乘积丛Up×F,设
,将Up×Fp中元素(x,Vp)和Uq×F中的元素(x,Vq)等同起来, 如果它们满足
Vp=gpqVq,gpq(x)
就被称为转换函数,是取值于Gl(m,R)(或Gl(m,C))的函数,且当
时成立
经过这样的粘合,便得到整体的向量丛。例如,M的切丛TM就是由每个在Up上的切丛粘合而成。
如果每个Up×Fp上有联络形式Г,而且在
时,在其上成立
那么在
上就有一整体的线性联络,照样可以定义截面σ及其关于切向量场X的协变导数
。
的截面是M到E 的一个映射σ,使 π
σ是M上的恒等映射。设σ是一截面,X是M的切向量场,则
仍是一个截面,它们在每一Up×F的表达式由(2)及
给出,而在粘合之处(即Up∩Up≠φ),它们是一致的。如把所有可微分截面的集合记为
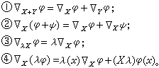
,那么
的一个映射,并且有如下的特征:设X,Y是M的切向量场,φ,ψ∈C∞(M,E),λ(x)是M上的C∞函数,那么
反之也可以从这4个性质出发,来作出向量丛上联络的定义。
照样可以把水平提升的概念,曲率的概念整体地定义到向量丛上来。
如果可以选取局部基截面,使转换函数属于Gl(m,R)(或Gl(m,C))的某一子群G,即gpq属于这子群G,就称向量丛可化约为群G的向量丛。若联络形式也取值于群G的李代数g,就称这个联络为化约于群G的联络。
主丛上的联络设U×G={(x,u)│x∈U,u∈G}是一个局部乘积丛, 这里G是一个李群, π:(x,u)
x称为投影,可用取值于G 的李代数g上的一次微分形式
来定义一个联络,以
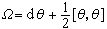
部曲率形式。但为了整体描述方便起见,取
联络的坐标表示,这里u-1du是群G的左不变形式,αd是伴随表示。
当 M=∪Up,把
粘合起来便得主丛P,这时若x∈Up∩Uq,把(x,up)和(x,uq)视为同一元素,但 up和uq之间要由转换函数up=gpquq所联系(这里gpq取值于G,满足

,在每一Up×G上,联络形式由
在Up∩Uq处,
与悧 之间应有关系
Up∩Uq处θp=θq,所以联络确实可以用θ 来表示。曲率也可写成
。
形M是仿紧空间(见拓扑空间)时,主丛上的联络是一定存在的。
M上的曲线C∶x=x(t)按微分方程
可以决定主丛P上的一条曲线,称为C的水平提升曲线,水平提升曲线的切向量称为水平向量。P上每点的水平向量全体构成P在该点的切空间的一个n维子空间,称为水平子空间。P上的联络也可以由在各点给定的、符合一定条件的水平子空间所定义。
M上以定点x为始点和终点的分段可微闭曲线,其水平提升相应于在π-1x上群 G的一个右作用。所以每一条以x为端点的分段可微闭曲线对应群G的一个元素,且为同态,称这同态为和乐映射,其群为和乐群。
和乐群是研究主丛联络的一个重要工具。已经证明,由和乐群出发可以重建主丛的拓扑结构和联络本身。
联络论的作用联络在微分几何和理论物理中有很多作用。
(1)(c.)f.克莱因在埃尔朗根纲领中把几何空间看成群的作用空间,且作用是可迁的,把几何性质看成群作用下的不变的性质。在此观点下,欧氏空间,仿射空间,射影空间与共形空间等等都有相应的可迁变换群。黎曼流形是弯曲空间且在其上一般没有可迁变换群作用,因而黎曼流形不在克莱因的几何空间之列。但从纤维丛的观点,黎曼流形上各点的切空间仍然是克莱因意义下的几何空间, 这时各点的切空间之间由联络来建立联系(要通过曲线的水平提升)。 从而对于种种克莱因意义下的几何空间,都可作其相应的联络空间, 如仿射联络空间,共形联络空间,射影联络空间等等,这是克莱因理论的一大发展,这种概念首先是由É嘉当提出的。
(2)通过联络可以作出曲率,利用曲率可以作出纤维丛上的示性类,它们是流形M上的闭形式,这些示性类(其积分称为示性数)是研究纤维丛的拓扑性质的重要工具。这是陈省身等人的贡献。
(3)1954年物理学家杨振宁等提出了规范场理论,它在研讨自然界四种基本作用力的规律中起了极为重要的作用。实际上,规范势相当于联络,场的强度相当于曲率,截面相当于波函数,示性数表示某些物理量(如磁荷,瞬子数等)。20世纪70年代起,纤维丛联络论和规范场论的相互沟通对数学和物理学都起了巨大的推进作用。