[拼音]:shengfushe yali
[外文]:acoustic radiation pressure
流体媒质中传播的声波,入射到一个障碍物上,在其上所产生的前向平均压力。其方向与声传播的方向相同。与交变的声压不同,它是由流体媒质的非线性引起的。用数学方程描述声波在流体媒质中的传播规律时,常认为声压不大,因而略去方程中的二阶小量。正是这些二阶小量构成声辐射压力。
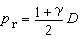
瑞利考虑声波在气体中传播是一个绝热过程,导出单位面积上的声辐射压力为
,
式中γ为气体的比热容比,k为障碍物前的声能密度。这样求得的声辐射压力常称为瑞利辐射压力。
L.-N.布里渊和 P.朗之万考虑了声波运动方程中的对流项,导出单位面积上的声辐射压力与障碍物前声能密度k的关系为
常称为朗之万辐射压力。根据目前的认识,瑞利辐射压力适用于无限流体媒质内的平面波情况,而郎之万辐射压力适用于无限流体媒质内的有限束宽平面波情况,因而两者并不相同。在实际测量情况下,一般测得的是朗之万辐射压力。
上面这个公式适用于障碍物对入射声全部吸收的情况。如为全反射,则该公式应为
声辐射压力很小,可以从以下两例看出:
(1)水中声压幅值为5个大气压(1个大气压等于101325帕)的强声所产生的声辐射压力只不过万分之几大气压;
(2)空气中140分贝的强声所产生的辐射压力只有0.3帕。
在声学测量中,声辐射压力常被用来测量声强、声功率等。
辐射压力是波的一个普遍物理现象,光波亦有光的辐射压力(见光压)
- 参考书目
- R. W. B. Stepheno and A.E.Bate,Acoustics and Vibrational Physics, 2nd ed., Edward Arnold,London,1966.
- T. F.Hueter and R.H.Bolt, Sonics, John Wiley & Sons,New York, 1955.
- 别尔格曼著,曹大文等译:《超声》,国防工业出版,北京,1964。