[拼音]:digui hanshu
[外文]:recursive function
数论函数的一种,其定义域与值域都是自然数集,只是由于构作函数方法的不同而有别于其他的函数。处处有定义的函数叫做全函数,未必处处有定义的函数叫做部分函数。最简单又最基本的函数有三个:零函数O(x)=0(其值恒为0);射影函数
;后继函数S(x)=x+1。它们合称初始函数。要想由旧函数作出新函数,必须使用各种算子。
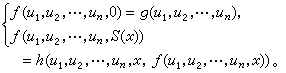
代入(又名复合或叠置)是最简单又最重要的造新函数的算子,其一般形状是:由一个m元函数ƒ与m个n元函数 g1,g2,…,gm 造成新函数 ƒ (g1(x1,x2,…,xn),g2(x1,x2,…,xn),…,gm(x1,x2,…,xn)),亦可记为ƒ(g1,g2,…,gm)(x1,x2,…,xn)。另一个造新函数的算子是原始递归式。具有n个参数u1,u2,…,un的原始递归式为:
具有一个参数的原始递归式可简写为:
其特点是,不能由g、h两函数直接计算新函数的一般值ƒ(u,x),而只能依次计算ƒ(u,0),ƒ(u,1),ƒ(u,2),…;但只要依次计算,必能把任何一个ƒ(u,x)值都算出来。换句话说只要g,h为全函数且可计算,则新函数f也是全函数且可计算。
由初始函数出发,经过有限次的代入与原始递归式而作出的函数叫做原始递归函数。由于初始函数显然是全函数且可计算,故原始递归函数都是全函数且可计算。通常使用的数论函数全是原始递归函数,可见原始递归函数是包括很广的。但是W.阿克曼证明了,可以作出一个可计算的全函数,它不是原始递归的。经过后人改进后,这个函数可写为如下定义的阿克曼函数:
容易看出,这个函数是处处可计算的。任给m,n的值,如果m为0,可由第一式算出;如果m不为0而n为0,可由第二式化归为求g(m,1)的值,这时第一变目减少了;如果m,n均不为0,根据第三式可先计算g(m,n-1),设为α,再计算g(m-1,α),前者第二变目减少(第一变目不变),后者第一变目减少。极易用归纳法证得,这样一步一步地化归,最后必然化归到第一变目为0,从而可用第一式计算。所以这个函数是处处可计算的。此外又容易证明,对任何一个一元原始递归函数ƒ(x),永远可找出一数α使得ƒ(x)<g(α,x)。这样,g(x,x)+1便不是原始递归函数,否则将可找出一数b使得g(x,x)+1<g(b,x)。令x=b,即得g(b,b)+1<g(b,b),而这是不可能的。
另一个重要的造新函数的算子是造逆函数的算子,例如,由加法而造减法,由乘法造除法等。一般,设已有函数ƒ(u,x),就x解方程ƒ(u,x)=t,可得x=g(u,t)。这时函数g叫做ƒ的逆函数。至于解一般方程ƒ(u,t,x)=0而得x=g(u,t)可以看作求逆函数的推广。解方程可以看作使用求根算子。ƒ(u,t,x)=0的最小x根(如果有根的话),记为μx[ƒ(u,t,x)=0]。当方程没有根时,则认为μx[ƒ(u,t,x)=0]没有定义。可见,即使ƒ(u,t,x)处处有定义且可计算,但使用求根算子后所得的函数μx[ƒ(u,t,x)=0]仍不是全函数,可为部分函数。但只要它有定义,那就必然可以计算。这算子称为μ算子。如果ƒ(u,t,x)本身便是部分函数,则 μx[ƒ(u,t,x)=0]的意义是:当ƒ(u,t,n)可计算且其值为0,而x<n时ƒ(u,t,x)均可计算而其值非0,则 μx[ƒ(u,t,x)=0]指n;其他情况则作为无定义。例如,如果ƒ(u,t,x)=0根本没有根,或者虽然知道有一根为n,但ƒ(u,t,n-1)不可计算,那么 μx[ƒ(u,t,x)=0]都作为没有定义。在这样定义后,只要 μx[ƒ(u,t,x)=0]有值便必可计算。由初始函数出发,经过有穷次使用代入、原始递归式与 μ算子而作成的函数叫做部分递归函数,处处有定义的部分递归函数称为全递归函数,或一般递归函数。
原始递归函数类里还有一个重要的子类称为初等函数类,它是由非负整数与变元经过有穷次加、算术减(即|α-b|)、乘、算术除
、叠加Σ、叠乘П而得的函数组成的类。
波兰人A.格热高契克把原始递归函数类按定义的复杂程度来分类,称为格热高契克分层或波兰分层。
要把递归函数应用于谓词,首先要定义谓词的特征函数。谓词R(x,y)的特征函数是
称谓词R 是递归谓词,若R 的特征函数是递归函数;称自然数子集A为递归集,若谓词x∈A是递归谓词。有了上述定义,就可以用递归函数来处理递归谓词和递归集。为了处理N×N(其中N 为自然数集)的子集,就要建立配对函数,所谓配对函数通常是指由N×N 到N 的一个函数ƒ(x,y)与它的逆函数g1(z),g2(z)。它们都满足以下关系:
可以构造许多原始递归的配对函数。
递归函数也可以用来处理符号串。处理的办法是对符号及符号串配以自然数。这方法是K.哥德尔开始引进的,因此称为哥德尔配数法。例如,在要处理的符号系统{α1,α2,α3,…}中,可以用奇数1,3,5,7,…作为α1,α2,α3,α4,…的配数,符号串
以
为其配数,其中Ps是第s个素数,nij是αij的配数。这种配数称为哥德尔配数。有了哥德尔配数法,就可以用递归函数来描写、处理有关符号串的谓词了。