[拼音]:shulun hanshu
[外文]:number-theoretic function
以正整数为定义域的函数ƒ(n),例如数列{αn}、阶乘n!、幂nλ等都是数论函数。
重要的数论函数设n的标准分解式为
。
(1)麦比乌斯函数
易知
式中和号表示d过n的所有因数。
(2)欧拉函数φ(n) 表示与 n互素且不超过n的正整数的个数,易证
,
这里(m,n)=d。1801年,C.F.高斯证明了
。关于欧拉函数,有一个迄今尚未解决的猜想:不存在复合数n使得φ(n)|n-1。这个猜想是1932年由D.H.莱默尔提出来的。1962年,柯召和孙琦证明了这样的复合数存在,n至少是12个不同的奇素数的乘积;1980年,G.L.科恩和P.哈吉斯用计算机改进到 n至少是14个不同的奇素数的积。
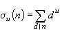
(3)除数函数
当u≠0时,则有
当u=0时,
设σ1(n)=σ(n),正整数n满足σ(n)=2n时,n就叫做完全数。
(4)曼格尔德特函数
则有
和
后一恒等式在素数分布理论中有用。
狄利克雷卷积设ƒ1(n)和ƒ2(n)是两个数论函数,则
叫做ƒ1(n)和ƒ2(n)的狄利克雷卷积,记为ƒ1(n)*ƒ2(n)=ƒ(n)。显然,ƒ(n)也是一个数论函数, 且有

这里ƒ3(n)也是一个数论函数。狄利克雷卷积是研究数论函数的重要概念。可以证明:全体ƒ(1)≠0的数论函数ƒ(n),对于狄利克雷乘积*组成一个阿贝尔群。
若(m,n)=1,有ƒ(mn)=ƒ(m)ƒ(n),称数论函数ƒ(n)为积性函数;若对任意正整数m、n,都有ƒ(mn)=ƒ(m)ƒ(n),则称数论函数 ƒ(n)为完全积性函数,例如墹(n)、nλ是完全积性函数,μ(n)、φ(n)、σu(n)是积性函数,但不是完全积性函数。曼格尔德特函数Λ(n)是非积性函数。积性函数有下列性质:
(1)若ƒ(n)是一个非恒等于0的积性函数,则有ƒ(1)=1和
②若ƒ1(n)和ƒ2(n)都是积性函数,则ƒ1(n)*ƒ2(n)也是积性函数;
(3)若ƒ1(n)*ƒ2(n)和ƒ2(n)是积性函数,则ƒ1(n)也是积性函数。
麦比乌斯反演公式设n为正整数,若
则有
反之亦然。这就是著名的麦比乌斯反演公式,它还有乘积表达式。
则

麦比乌斯反演公式是R.戴德金1857年给出的,它有多种推广形式,在数论和组合数学中都很有用。例如由
,用麦比乌斯反演公式立即可得
。因为nu是积性函数,所以
也是积性函数,于是容易求得σu(n)的表达式。以素数 p为模,把多项式xp
-x分解为不可约多项式之积,设其素因式的次数为m,已知m|n,反之,任一个m(m|n)次不可约多项式一定是该式的因式,设φn表示对模p的n次不可约多项式的个数,故有
由麦比乌斯反演公式得
,故得φn>0,即知道元素个数为pn的有限域存在。