[拼音]:reci xiaoying
[外文]:thermomagnetic effect
亦称磁场热效应,指由外加磁场或物质内部磁状态改变引起的该物质热性质(如热导率、温度梯度)或电性质(如温差电势)的变化,或由于热或热流引起的物质磁性的变化。利用这类效应可以研究某些物质的能带结构、传导机制或获得超低温度。一般包括以下几种效应。
厄廷好森-能斯脱横效应当导体或半导体受到磁场(Hz)和与之垂直的产生热流(It)的温度梯度(媉T/媉x)同时作用时,在垂直前两者的方向产生电场(Ey)的现象(图a),其关系为
(1)
式中Q称为厄廷好森-能斯脱系数。
厄廷好森-能斯脱纵效应
当导体或半导体受到磁场(Hz)和与之垂直的产生热流(It)的温度梯度(坸T/坸x)同时作用时,在热流方向产生电场(Ex)的现象(图b),其关系较为复杂。
里纪-勒杜克横效应当导体或半导体受磁场(Hz)和与之垂直的产生热流(It)的温度梯度(坸T/坸x)同时作用时,在垂直前两者的方向产生温度梯度(дT/дy)的现象(图c),其关系为
(2)
式中S称为里纪-勒杜克系数。
里纪-勒杜克纵效应当导体或半导体受磁场(Hz)和与之垂直的产生热流(It)的温度梯度(坸T/坸x)同时作用时,在热流方向发生热阻改变(ΔRt)的现象(图d),其关系较为复杂。
上述四种磁热效应与磁场电效应(如霍耳效应、磁致电阻效应)是相似的。
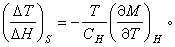
磁热效应亦称磁卡效应或磁致温差效应,指强磁或顺磁物质中伴随磁化强度改变而发生的可逆温度变化,这与由磁滞引起的不可逆加热效应(温度变化)不同。由热力学可以证明,当磁场绝热变化ΔH时,在强磁或顺磁物质中引起的可逆温度变化ΔT与这物质的定磁场热容CH、定磁场M温度系数(坸M/坸T)H和温度T 的关系为
(3)
这一效应是利用顺磁盐绝热去磁获得超低温的物理基础。