[拼音]:dengliziti zhong de lizi pengzhuang
[外文]:collision between particles in plasma
等离子体中含有带电粒子(电子、离子)和中性粒子(原子、分子)。中性粒子之间的碰撞可参见分子运动论,带电粒子与中性粒子之间的碰撞接近中性粒子之间的碰撞。这里仅限于讨论带电粒子之间的碰撞。
带电粒子之间可以产生近距离的碰撞,这种碰撞只是一个粒子和另一个粒子相碰,一次碰撞的结果是至少有一个粒子的速度有明显的偏转。
除近碰撞外,带电粒子之间还存在远距离的碰撞。由于粒子之间的库仑作用力是长程力,它的作用范围一直延伸到以德拜长度为半径的德拜球,德拜长度比起粒子间的近距离碰撞参量来是一个很长的距离,在这种远距离的弱相互作用下的碰撞就是远碰撞,它造成粒子速度的微小偏转,当这些微小偏转累积起来,使偏转达到90°,就相当于一次碰撞。
在等离子体中,带电粒子间的远碰撞作用一般说来远大于近碰撞,前者比后者大8lnΛ倍左右,lnΛ称为库仑对数,lnΛ≈10,所以,碰撞频率主要是由远碰撞决定。
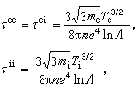
用
表示a类粒子碰b类粒子的碰撞时间,等离子体中带电粒子之间的碰撞时间有 4种:
、
、
、
,分别表示电子碰电子、电子碰离子、离子碰离子及离子碰电子的碰撞时间。对于热平衡的等离子体,严格的计算得到(假设离子是一次电离)
,
式中 me、mi、Te、Ti分别是电子和离子的质量和温度,n是电子或离子密度,e是电子电荷,Te、Ti以尔格为单位,其他各物理量都是用高斯单位。
它们之间的相对大小是
碰撞频率v=1/τ,所以4种碰撞频率的相对大小是
,
当Te≈Ti时,有关系
=



。
带电粒子之间碰撞的一个特点是:碰撞频率v与T3/2(当Ti=Te=T 时)成反比,T越高,v越小。这和气体分子之间的碰撞性质完全不同。