[拼音]:zuoyong fanwei
[外文]:sphere of action
质量较小的天体m周围的一个受m引力作用的区域。它的边界一般取以m为中心、半径长度为σ的球面,因此又称为作用球。设质量较大的天体M和质量较小的天体m之间的距离为A。另一质点P在m的作用范围内时,主要考虑m对它的引力,M对它的引力则作为摄动力;P在m的作用范围外面时,主要考虑M对它的引力,而以m对它的引力作为摄动力。在近似讨论时,往往先忽略摄动力,将P在m和M的引力作用下运动的三体问题简化为两个二体问题。
根据不同的需要,作用范围的半径ρ有三种不同的取法:
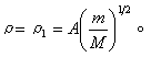
(1)以m、M对P点直接引力作为标准,m的作用范围半径取为:
这种作用范围又称引力范围。
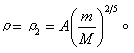
(2)以对P点的引力和摄动力大小之比作为标准,m的作用范围半径取为:
这就是通常所说的作用范围。
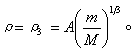
(3)以平面圆型限制性三体问题的拉格朗日特解L1到天体m的距离为作用范围半径,近似地取为:
这种作用范围称作希尔范围,主要应用于天体演化学。
地球在日地系和月球在地月系中三种作用范围的半径分别为:这三种数值相差很大,因此作用范围仅是一个粗略的概念。