[拼音]:beisanshe fenxi
[外文]:backscattering analysis
通过探测大角散射离子能谱来确定靶物质特性的分析方法。当具有一定能量的离子轰击靶物质时,入射离子会同靶核发生库仑散射。对于一定能量和质量的入射离子,散射离子的能量及其强度同靶核的质量数、含量和散射角有关。由于大角散射具有较好的质量分辨,所以在分析靶物质成分时,经常采用背散射(散射角在165°~170°间的大角散射)分析。
特点背散射分析具有许多优点:快速、定量、无损,有时还能多元素同时分析。这个方法可以作定量分析而不需要“标样”;可以得到元素的深度分布,而不需要对样品进行剥层处理(如离子溅射、化学腐蚀、机械研磨等)。因此利用背散射技术分析物质表面下组成的变化或杂质的深度分布特别合适。如果用背散射技术分析单晶样品,则可以同沟道效应(见沟道效应和阻塞效应)相结合,研究离子注入过程中产生的辐射损伤以及退火过程中损伤的恢复情况、掺杂离子的定位等。背散射分析已成为固体物理、半导体物理、材料科学研究等领域中常采用的较成熟的分析手段。
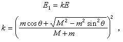
原理背散射分析中,入射离子同靶原子核发生的是弹性碰撞过程,利用能量守恒定律和动量守恒定律即可导出背散射离子能量E1
,
式中m、M分别为入射离子和靶原子的质量;E为入射离子在碰撞前的瞬时能量,若碰撞发生在靶表面,则E就是入射离子的初始能量 E0;θ为实验室坐标系中的散射角(图1)。k常称为背散射运动学因子。对确定种类、能量的入射离子和确定的散射角,散射离子能量决定于靶原子的质量,靶原子质量愈大,背散射离子能量也愈大。因此从背散射能谱可以确定靶物质中所含元素的种类。
入射离子在靶物质内除因同靶核的库仑相互作用而损失能量外,在射入和射出靶物质的路径上也要损失能量,这就是电离能量损失,通常用阻止本领
表示,x为离子运动的距离。由于这个物理过程,使得探测到的对同种原子核的背散射的出射离子能量,与发生背散射的深度有关,发生在靶内深度为t的能量E2要比发生在表面的能量 kE0小。如靶面法线与入射束和散射束方向的夹角分别为θ1和θ2(图2),则kE0与E2的差ΔE为
,
上式中的第一项同入射离子在入射路径上的电离能量损失有关,第二项则是背散射离子在出射路径上的能量标度转变为靶物质的深度坐标,因此分析背散射能谱可得靶内原子深度分布。
从背散射能谱得到的另一个重要信息是靶物质元素的含量。背散射是库仑作用过程,其微分散射截面(即卢瑟福散射截面)在实验室系中由下式表示
上式中的 Z1、Z2分别为入射离子和靶原子的核电荷数;E为入射离子在散射前的瞬时能量。
由于实验测得的某一背散射能谱峰的面积同靶物质中相应靶元素的含量有关,因此如果能测得该元素的背散射谱面积,就可以得到它的含量。对于均匀分布的混合物或化合物样品,若测得背散射谱高度比,则可求得它们的组分比。
在背散射分析中常利用低能加速器产生的能量为 1~2.5MeV的α粒子束作入射束。因为上述能量范围是α粒子经典的库仑散射能区;α粒子束可以得到较好的质量分辨率和深度分辨率;α 粒子在物质中的阻止本领数据齐备。背散射离子常用金硅面垒型半导体探测器测量,对于2MeV的α粒子,系统的能量分辨一般可达15keV;与此相应,对质量数在50以下的元素,质量数相差1~2即能区分开;对于常规几何条件(垂直入射),深度分辨一般为200┱左右,采用掠角散射时,深度分辨可达到20┱左右。背散射分析方法的可分析样品的深度(分析深度)决定于分析束的能量离子种类以及待分析样品的种类,对能量为2MeV的α 粒子,分析深度约 1µm;如果采用质子束作分析束,分析深度可提高到约3µm。背散射分析特别适用于分析轻基体中的重杂质元素,对体杂质,分析灵敏度(对质量的分辨率)可达到0.1%;对表面单原子层沾污重杂质元素,分析灵敏度可达到 1/10~1/100。对于重基体元素中的轻杂质,或质量同基体元素的相近的杂质则很不灵敏,因为轻杂质元素的背散射能谱峰被重基体元素的背散射能谱所掩盖。此时宜采用核反应分析等方法。在某些特殊情况下,如重元素基体膜很薄,则可利用前向散射来分析较轻的元素。
- 参考书目
- W.K. Chu, et αl., Backscattering Spectrometry, Academic Press, New York,1978.