[拼音]:shulun wangge qiujifenfa
[外文]:number theoretical method for numerical integration
高维数值积分数论方法研究开始于20世纪50年代末,其理论基础是数论中的一致分布论。命Us表示 s维单位立方体。假定
是Us上定义的函数,并假定
存在且其绝对值以C为界。命
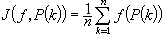
是Us中具有偏差D(n)的点集。所谓数论方法就是用被积函数在p(k) (1≤k≤n)上值的算术平均
作为Us上定积分
的近似值,而误差由下面的公式给出:
J(ƒ,p(k))就是由点集p(k)(1≤k≤n)定义的一个求积公式。因此寻求Us上最佳求积公式的问题即等价于寻求Us上最佳偏差的点集的问题。从计算方法的观点看,不仅要求点集p(k)(1≤k≤n)的偏差小,而且要求p(k)的形式简单,易于计算。
(1)科罗博夫-劳卡方法 命p表示素数,a=(α1,α2,…,αs)表示整数向量,科罗博夫和E.劳卡证明了,对于任意p,皆存在a,使点集
有偏差
。也就是说用点集Q(k)(1≤k≤p)构造的求积公式有误差
。对于p求出a的计算量为O(p2)次初等运算。因此当p较大时,算出a来很困难。
(2)分圆域方法 分圆域
是一个
次代数数域。利用
的独立单位组可得它的一个适合于
的单位列nl(l=1,2,…),其中
表示nl的共轭数。如果使
则得点集
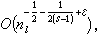
用这一点集构造的求积公式的误差为
式中ε为任意正数。算出nl、hjl(1≤j≤s-1)的计算量为O(lognl)。因此算出nl和
没有困难,但缺点是误差略为偏大些。
当2≤s≤18时,上述的p、a、nl和h都已汇编成表,可供查阅。
数论方法得到的求积公式的误差主阶均与维数无关,所以当s较大时,用数论方法近似计算Us上的定积分比较合算。