[拼音]:Bulang yundong
[外文]:Brownian motion
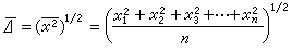
根据分子运动论观点,液体中的分子在作激烈的无规热运动时,分散在液体介质中的胶体质点要遭受运动着的液体分子的撞击。但在某一瞬间,有多少分子、从什么方向、以多大的动量撞击它均是无规的。因此,在这种撞击下,由于质点在各个方向所受的力不能互相平衡而产生的运动也是一种无规热运动。它是1827年英国植物学家R.布朗在显微镜下观察悬浮于水中的花粉时发现的,故称布朗运动。质点在作布朗运动时,每秒钟运动方向的改变可高达 1010次。因此无法确定其实际运动途径。附图是每隔相等时间从显微镜中看到的质点的位置在平面上的投影。布朗运动沿某一方向(x)的位移可用下式计算:
懗称布朗运动在x方向的均方根位移。理论上已证明胶体质点的扩散是布朗运动引起的,而且已论证懗与扩散系数D的关系是:
式中t为时间。此式可用来测定胶体质点的扩散系数。