[拼音]:moxingshilun
[外文]:theory of modular form
一种特殊的自守形式的理论。由(J.-)H.庞加莱所发展的一般的富克斯群上的自守形式,是属于单复变函数论的一个课题。由E.赫克所创的模形式是对于模群Sl2(Z)或其他算术群的自守形式,就其内容和方法而言,则应为数论的一部分。它在以后的发展中与椭圆曲线理论、代数几何、表示论等有十分深刻的联系而成为数学中的一个综合性学科。
模形式与很多重要的数学问题有关,在现代数学的发展中占有重要地位。例如,对阿贝尔扩域已建立了完整的类域论而使D.希尔伯特的第9问题得到解决,目前一个非常重要的问题是关于非阿贝尔扩域的类域论的研究,已发现非阿贝尔扩域与模形式之间的内在联系。又如关于希尔伯特第12问题得到对于虚二次域的结论:虚二次域的任一阿贝尔扩域必是该域添加模函数j(z)的某些值所得到的域的子域。著名的高斯猜想即虚二次域的类数问题的解决,也用到了模形式论。
模形式是指满足以下两个条件的函数ƒ(z):
(1)ƒ(z)是上半平面
上的全纯函数,在∞处的傅里叶展开式为α0+α1q+α2q2+…,式中q=e2πiz,αi是常数;
(2)若
则
式中Г 表示所有行列式等于1的二阶整数方阵构成的群,称之为模群;k是某个整数,称之为模形式ƒ(z)的权。因而,ƒ(z)又称为群Г上权为k的模形式。
上半平面h上的变换
称为模变换。
全体模形式构成的线性空间记为Mk(Г),它是复数域上的一个有限维向量空间。若以dk表示它的维数,则当k<0,k=2或k为正奇数时,dk=0;当k=0,4,6,8,10时,dk=1;当k≥12,且为偶数时,dk=dk-l2+1。
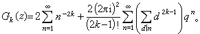
当k>1时,定义函数
式中求和号
┡表示对不等于(0,0)的所有整数组(m,n)求和。等号右端的无穷级数是绝对收敛的,所以Gk(z)在h上是全纯函数。且可证明Gk(z)属于M2k(Г)。Gk(z)称为艾森斯坦级数,它在∞处的傅里叶展开式为
又一个重要的例子是权为12的模形式
它与G婦(z)和 G娬(z)同属于M12(Г),因为d12=2,所以在墹(z)、 G婦(z)和G娬(z)之间一定存在一个线性关系,实际上有墹(z)=(60G2(z))3-27(140G3(z))2,进而可证明Mk(Г)是由适合4α+6b=k的诸G屶(z)G
(z)在复数域上张成的,这里α、b为非负整数。
令
这些τ(n)都是整数。1916年,S.A.拉马努金关于τ(n)的性质提出如下的猜想:当m与n互素时,τ(mn)=τ(m)τ(n);当p为素数,α为正整数时,
1920年,L.J.莫德尔证实了这一猜想。赫克在Mk(Г)中引入了一类线性算子(赫克算子),类似于τ(n)所具有的性质正是这类算子的公共本征矢的傅里叶系数所具有的性质。这些公共本征矢组成了Mk(Г)的一组基。拉马努金关于τ(n)的另一个猜想是
1974年P.德利涅证实了这一猜想。
当模形式 ƒ(z) 的傅里叶展开式中常数项α0为零时,ƒ(z)称为歧点型模形式。
由墹(z)的乘积表达式可知墹(z)≠0(z∈h)。因此定义函数
它是一个权为零的模形式。在所有模变换之下不变的亚纯函数称为 Г上的模函数。可见j(z)是模函数,进而可证明Г上任意模函数都可表成j(z)的有理式。
对于Г 的子群,也可类似地定义模形式。常见的这类子群有


式中N为正整数。研究这些群上的模形式空间的构造,是模形式论的一个重要课题。
模形式论还可用于把一个整数表成几个整数的平方和的问题。以rs(n)表示把n表成s个整数平方和的所有不同的表法个数,令
显然有
若
则有
式中
这里
是二次剩余符号,εd对所有奇数d有定义,当d呏1(mod4)时,εd=1,当d呏3(mod4)时,εd=i,平方根(сz+d)1/2的幅角总取在
之内。设k为正奇数,在模形式的定义中,用j(r,z)k代替条件②中的(сz+d)k,即为权是半整数k/2的模形式定义,例如θ3(z)是Г0(4)上权为3/2的模形式。