[Æ´Òô]£ºlixiang qiti zhuangtai fangcheng
[ÍâÎÄ]£ºequation of state of ideal gas
ÃèдÀíÏëÆøÌå״̬±ä»¯¹æÂɵķ½³Ì¡£¶ÔÓÚÒ»¶¨ÖÊÁ¿µÄÆøÌ壬¿ÉÒÔÓÃѹǿpºÍÌå»ýVÀ´ÃèÊöËüµÄƽºâ̬£¬¶øÎ¶ÈTÊÇpºÍVµÄº¯Êý£¬F(T£¬p£¬V)=0¡£Õâ¸ö¹ØÏµÊ½½Ð×öÆøÌåµÄ״̬·½³Ì£¬ËüµÄ¾ßÌåÐÎʽÐèÓÉʵÑéÈ·¶¨¡£
²£Òâ¶ú¶¨ÂÉÓֳƲ£Òâ¶ú¡ªÂíÂÔÌØ¶¨ÂÉ£¬ÊÇÓ¢¹ú»¯Ñ§¼ÒR.²£Òâ¶úÔÚ1662ÄêºÍ·¨¹úÎïÀíѧ¼ÒE.ÂíÂÔÌØÔÚ1679Äê·Ö±ð¶ÀÁ¢·¢Ïֵġ£ËüµÄÄÚÈÝÊÇ£ºÒ»¶¨ÖÊÁ¿µÄÆøÌ壬µ±Î¶ȱ£³Ö²»±äʱ£¬Ñ¹Ç¿ºÍÌå»ý³É·´±ÈÇҳ˻ýÊÇÒ»¸ö³£Êý
p1V1=p2V2=p3V3=¡»òpV=C¡£
³£ÊýC ÔÚ²»Í¬Î¶ÈʱÓв»Í¬ÊýÖµ¡£
´óÁ¿ÊµÑé½á¹û±íÃ÷£¬¸Ã¶¨ÂɶÔÀíÏëÆøÌåÍêÈ«ÕýÈ·¡£¶ÔÓÚ¸÷ÖÖʵ¼ÊÆøÌ壬ֻҪËüµÄѹǿ²»Ì«¸ß£¬Î¶Ȳ»Ì«µÍ£¬¶¼½üËÆµØ×ñ´Ó´Ë¶¨ÂÉ£»ÆøÌåµÄѹǿԽµÍ£¬Ëü×ñ´Ó²£Òâ¶ú¶¨Âɵľ«È·¶È¾ÍÔ½¸ß¡£
¸Ç£ÂÀÈø¿Ë¶¨ÂÉÒ»¶¨ÖÊÁ¿µÄÆøÌ壬µ±Ìå»ý²»±äʱ£¬ËüµÄÑ¹Ç¿ËæÎ¶È×÷ÏßÐԱ仯£º
p=p0(1+¦Át)£¬p0
ÊÇ0¡ãCʱµÄÆøÌåѹǿ£¬pÊÇt¡ãCʱµÄÆøÌåѹǿ£¬¦ÁÊÇÔÚÆøÌåÌå»ý²»±äʱµÄѹǿϵÊý¡£¶ÔÓÚÀíÏëÆøÌ壬¦ÁµÄÊýֵΪһÆÕÊʳ£Êý£¬ÆäֵΪ1/273.15£¬ÓÚÊÇ
ÈôÁîT=t£«273.15£¬ÔòÉÏʽ¼ò»¯Îª
pt=p0¦ÁT£¬T
¼´ÎªÈÈÁ¦Ñ§Î±꣬Æäµ¥Î»ÊÇ¿ª¶ûÎÄ (K)£»t=0ʱ£¬T0=273.15K¡£
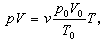
ÀíÏëÆøÌå״̬·½³Ì¡¡¸ù¾Ý²£Òâ¶ú¶¨ÂÉ¡¢°¢·üÙ¤µÂÂÞ¶¨ÂɺÍÀíÏëÆøÌåαêµÄ¶¨Ò壬¿ÉÒÔÈ·¶¨²£Òâ¶ú¶¨ÂÉÖг£ÊýCÓëζȵĹØÏµ£¬²¢¿Éµ¼³ö
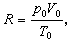
ʽÖÐp0¡¢V0¡¢T0Ϊ±ê×¼×´¿öÏÂһĦ¶ûÀíÏëÆøÌåµÄѹǿ¡¢Ìå»ý¡¢Î¶ȣ»vΪĦ¶ûÊý¡£Òò´Ë£¬
µÄÊýÖµ¶Ô¸÷ÖÖÆøÌå¶¼Ò»Ñù¡£¸ÃÊýÖµ½ÐĦ¶ûÆøÌå³£Êý²¢ÓÃr±íʾ£º
ÓÚÊÇ
ʽÖÐM´ú±íÆøÌåµÄÖÊÁ¿£¬¦Ì ÊÇÆøÌåµÄ·Ö×ÓÁ¿¡£Õâ¾ÍÊÇÀíÏëÆøÌå״̬·½³Ì¡£
ÔÚѹǿΪ¼¸¸ö´óÆøÑ¹ÒÔÏÂʱ£¬¸÷ÖÖʵ¼ÊÆøÌåÒ»°ã¶¼½üËÆµØ×ñ´ÓÀíÏëÆøÌå״̬·½³Ì¡£Ñ¹Ç¿Ô½µÍ£¬·ûºÏµÄ³Ì¶ÈÔ½¸ß¡£ÔÚѹǿÇ÷ÓÚÁãµÄ¼«ÏÞÇé¿öÏ£¬Ò»ÇÐÆøÌå¶¼ÑϸñµØ×ñ´ÓËü¡£¸ù¾ÝÀíÏëÆøÌåÄ£ÐÍ£¬´ÓÆøÌå·Ö×ÓÔ˶¯ÂÛ³ö·¢£¬Ò²¿ÉÒÔÍÆµ¼³ö¸ÃÎï̬·½³Ì¡£
Ħ¶ûÆøÌå³£ÊýRRµÄÊýÖµ¿ÉÓÉһĦ¶ûÀíÏëÆøÌåÔÚË®µÄÈýÏàµã (273.16K)¼°Ò»¸ö´óÆøÑ¹ÏµÄÌå»ýÍÆ³ö¡£Ò²¿ÉÒÔÓÉһĦ¶ûÀíÏëÆøÌåÔÚ±ùµã (273.15K)¼°Ò»¸ö´óÆøÑ¹ÏµÄÌå»ýV0ÍÆ³ö¡£ÓÃV0À´ÍÆËãµÄÔÒòÊÇ V0¿É¸ù¾ÝʵÑé½á¹ûÇóµÃ±È½Ï׼ȷµÄÊýÖµ¡£ÓÉ
V0=22.41383¡Á10-3m3/mol
¿ÉËãµÃ
r=8.31441¡À0.00026J/(mol¡¤K)¡£