[拼音]:yuanzi de shiliang moxing
[外文]:vector model of atom
用矢量和矢量合成表示原子中电子角动量及其耦合的一种半经典的模型。它可用来确定给定电子组态的原子内部可能的运动状态。
原子中电子的轨道角动量、自旋角动量以及由自旋轨道耦合而成的角动量,都可以用一矢量PK来表示。矢量的方向平行于相应角动量方向,矢量长度正比于相应角动量大小。两个角动量P
和P
相互作用而耦合,其合成角动量矢量PJ的方向和大小由两角动量矢量P
和P
的矢量和决定,即PJ=P
+P
。鉴于量子力学对角动量大小和对空间特殊方向取向量子化要求,得
式中K1、K2和J是相应角动量的量子数,
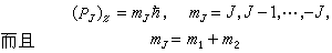
,h为普朗克常数。角动量在空间特殊方向z轴上的分量为
其合成角动量在z轴上的分量为
原子内电子间角动量耦合应按LS 耦合或jj 耦合两种方式把相应角动量矢量按一定的次序合成。原子的矢量模型也适用于核角动量与电子角动量的耦合。由于核磁矩远比电子磁矩小,所以核角动量引起的能级分裂称为能级的超精细结构(见原子光谱的超精细结构)。原子的矢量模型对于用光谱研究原子结构十分有用。