[拼音]:bianli lilun
[外文]:ergodic theory
又称各态历经理论,研究保测变换的渐近性态的数学分支。它起源于对为统计力学提供基础的“遍历假设”的研究,并与动力系统理论、概率论、信息论、泛函分析、数论等数学分支有着密切的联系。
按经典力学,一个力学系统可以用广义坐标 q=(q1,q2,…,qn)和共轭动量p=(p1,p2,…,pn)来描述。用H表示该系统的哈密顿函数,那么这系统遵循哈密顿正则方程:
称(p,q)所在的2n维空间为相空间。
系统的一个状态在相空间中有一个代表点P=(p,q),系统的运动就对应于点 P在相空间中的运动。如果系统是保守的,其总能量E便是常数,点P的运动就被限制在相空间中的等能面(称为能量面)H=E之上。
假如系统的自由度n非常大,例如在一定容器中气体分子的运动(宏观上微小的体积中仍含有大量的分子),如果与外界没有能量交换,就是一个保守的力学系统。这时 n=3N,N是分子的数目。因为人们无法去解如此巨大数目的哈密顿方程组,也无法实际地测得解方程时所必需的初始资料,所以不可能再用纯经典力学的方法来研究这样的系统。其实,系统中大量分子运动的综合作用才决定出系统的宏观性质。例如,气体的单个分子只是断续地冲撞容器壁,而大量分子冲撞的综合平均作用才形成了气体对器壁的稳定的压强。为了研究这类本质上是统计性质的运动规律,人们设想同时考虑都是含有N个粒子,处于同一外部条件之中并且具有同一哈密顿量,但微观状态不一样的一切可能的系统。这些系统在相空间中的代表点就不一样。这些宏观条件一样的一切可能的微观系统的全体称为系综(ensemble)。L.E.玻耳兹曼,特别是J.W.吉布斯建立了完整的统计系综方法,类比于流体力学中的刘维尔定理,证明了系综的概率分布守恒定理。如果用φt(P)表示相点P 经过时间t之后在相空间中达到的点,那么φt便是相空间的一个变换。所谓概率守恒,就是说φt能使一定的概率测度保持不变。如果某系综相应的概率分布不显含时间,就称做稳定系综。统计力学基本假设之一是认为真实的平衡物理系统在某时刻的状态与其相应的稳定系综在相空间中的点有相同的概率。对于保守系统,可以证明这概率测度就是
式中dσ是等能面H=E的面积元。系统的物理量应是相空间中坐标的函数A=A(p,q)。但实验中的量测总要经历一段时间。即使宏观上很短的时间,从微观的角度来考察也是相当长的。例如,在0℃和1大气压下,1立方厘米体积中的气体分子每秒钟大约碰撞1029次,即使在10-6秒这样宏观很短的时间里,碰撞也达1023次。所以,宏观量测的物理量,都是一个微观相当长时间的平均值
,可以认为就是
。但这一(极限)平均值无法从微观的力学分析中推算出来,因为无法确定相轨道的初始数据。为了用微观的力学分析解释宏观的物理现象,统计力学中提出了以下基本原理(或基本假设):对于平衡物理系统,物理量在相空间中按概率测度的平均应等于这物理量沿一轨道的时间平均,即
,
这里 Χ是相空间中可能达到的总区域(对于保守系统它是能量面H=E)。为了支持这一基本原理的引入,玻耳兹曼提出所谓遍历假设,认为一条相轨线可以跑遍(或者说充满)整个能量面。以后又有人提出准遍历假设,认为一条相轨线可以任意接近能量面上的任何一点。然而数学的研究指出,上述遍历假设不可能成立,而准遍历假设又不足以保证“相平均=时间平均”。因此,以后关于统计力学数学基础的研究,集中注意力于“相平均=时间平均”这一条件本身,把满足这一条件的系统称为是遍历的,或者称为是具有遍历性的。自20世纪30年代开始,以G.D.伯克霍夫、J.冯·诺伊曼、Α.Я.辛钦和其他许多数学家的工作为标志,关于遍历性的研究形成了一个重要的数学分支。
保测变换与遍历定理上述问题在数学上的抽象化的提法如下:设(Χ,B,μ)是一个测度空间,通常假定μ(Χ)=1,即μ为概率测度,φ是Χ的一个变换。 如果任意可测集B∈B的原像集φ-1B仍是可测集(即φ-1B∈B),那么φ就称为可测变换。如果可测变换φ使得μ(φ-1B)=μ(B)对任意B∈B成立,那么φ就称为保测变换(更详细一些,φ称为是保持测度μ不变的变换,μ称为关于φ不变的测度)。保测变换的物理背景,就是统计力学中的概率守恒运动。长期以来,数学的遍历理论研究的主要对象是保测变换,其中心问题之一,仍然是探讨适当的条件以保证“时间平均(这里取离散形式)=空间平均”,即
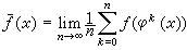
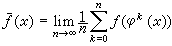
。这里 ƒ是定义于Χ上的适当函数(其背景即统计力学中的物理量),整数k可视为离散化的时间变量,φk表示φ的k次相继作用,即
等等。但作为数学的研究,人们必须首先证明作为时间平均的极限(在某种确定意义下)的存在性。这方面最早取得的成果,是冯·诺伊曼的平均遍历定理(1932)和伯克霍夫的个体遍历定理(1931)。平均遍历定理断定:对于平方可积的函数ƒ,时间平均的极限
在平均收敛的意义下存在,弙满足弙(φ(x))=弙(x)(几乎处处成立)和
。个体遍历定理断定:对于可积函数ƒ,极限
在几乎处处收敛的意义下存在,弙也是可积函数,它满足弙(φ(x))=弙(x)(几乎处处成立)和
。有了伯克霍夫个体遍历定理, 数学上不难证明: 遍历性等价于测度不可分性。所谓测度不可分性是说: 如果 B ∈B使得 φ-1B=B,那么或者μ(B)=0 或者μ(B)=1。由于上述两条件的等价性,许多数学研究者索性就以测度不可分性来定义遍历变换。数学的研究指出,一个能保证遍历性(即测度不可分性)的更强的条件是混合性,即对任意可测集A、B有
。混合性的物理含义是:在充分长的时间之后,能量面一个区域中的状态变到另一个区域中去的可能性接近于这两区域概率测度的乘积。换句话说,从每一区域出发的轨道,最终相当均匀地散布于能量面的各区域之中,从各区域出发的轨道最终在能量面上相当均匀地混合起来。保测变换的各种回归性质也是与遍历性有关的重要研究课题。早在1912年(J.-)H.庞加莱就已证明了以下简单而普遍的回归定理:对于概率空间的保测变换φ,从一个正测度集合中出发的几乎所有轨道都要无穷多次地返回这一集合。近年来关于回归性质的研究成果有多重回归定理等。
继伯克霍夫和冯·诺伊曼的开创性工作之后,许多数学家对个体及平均遍历定理作了种种推广。它包括:把平均遍历定理推广到更一般的巴拿赫空间和更一般的变换;把关于点变换的平均遍历定理推广到关于马尔可夫过程的平均遍历定理;把关于离散半群φk的个体及平均遍历定理推广到更一般的单参数半群φt甚至多参数的情形,等等。由许多数学研究者得到的遍历定理的各种提法有:极大遍历定理,一致遍历定理,受控遍历定理,局部遍历定理,阿贝尔遍历定理和次可加遍历定理等等。保测变换的谱理论研究,则是遍历理论与泛函分析相关联的重要课题。
上面提到的遍历理论的研究工作,都假定事先有了一定的测度。在数学研究中还可以提这样一类问题:给定拓扑空间Χ上的连续变换φ,是否存在Χ上的概率测度μ使其成为保测变换?这样的测度是否惟一?这又引起了关于不变测度的研究。数学上已经证明:对于紧致的可度量化的空间Χ的连续变换φ,不变测度必定存在。如果这种不变测度μ是惟一的,那么φ关于该测度就必定是遍历的,这时称变换φ具有惟一遍历性。
1958年Α.Η.柯尔莫哥洛夫在保测变换的研究中引进了测度熵的概念。测度熵反映了变换紊乱的程度,其物理背景正是热力学中的熵。测度熵的引进是继伯克霍夫和冯·诺伊曼工作之后保测变换研究中的又一重大进展。测度熵作为不变量为研究保测变换的同构问题提供了重要的工具。这一工具最初的效果是辨明了一些过去长期无法区分的系统的不同构。1970年D.奥恩斯坦获得了正面肯定同构的重要成果,他证明了具有相同测度熵的伯努利移位是同构的。类比于测度熵,R.L.阿德勒、A.G.康海姆和M.H.麦克安德鲁等人1965年在动力系统理论的研究中引入了拓扑熵的概念。
微分动力系统的遍历理论即光滑遍历理论。20世纪60年代以来,对微分动力系统的遍历性质的研究受到了普遍的重视。这一方面是因为引入了微分的工具使得处理问题简明而又富有几何直观,具有数学理论上的价值;另一方面是因为这种系统的物理解释概括了保守系统和耗散系统,内容更广泛。微分动力系统的研究对象是微分流形M上的微分同胚φ或流 φt。有关的遍历性研究往往涉及双曲性条件。所谓微分同胚φ在不变集Λ上有双曲结构,是指M的切空间丛在Λ上可以连续地分解成两部分,φ的微分Dφ在其中一部分上的作用是压缩而在另一部分上的作用是扩张。继Д.Β.阿诺索夫1963年的开创性工作之后,数学家们证明了:在整个流形上有双曲结构的系统(阿诺索夫系统)是遍历的。随后,S.斯梅尔、R.鲍恩和D.吕埃尔将这方面的研究推广到更为一般的公理A 系统(周期点在非游荡集中稠密并且非游荡集具有双曲结构的系统)。他们证明了:公理A系统的非游荡集Ω可以分解成有限多块Ω1,Ω2,…,Ωk,系统限制在每一块上都具有遍历性。在这样的分解中必定存在某些块Ωi使得邻近的轨道都趋于该块。这样的块称为吸引子。公理A系统是一种耗散系统,吸引子上的适当的不变测度表示这一系统的平衡态。
微分动力系统中相当多的运动趋于吸引子。除去不动点、周期轨道、不变环面这些平凡的吸引子外,还有所谓奇异吸引子。这种吸引子一方面吸引外部的点向它靠拢,另一方面其内部的点又互相排斥、互相离开。由于运动的区域有限,在奇异吸引子的范围之内势必产生许多折叠、孔洞,使运动呈现复杂、纷繁、混乱的图景。这种运动对初始条件非常敏感,最初的微小差异可导致后来轨道的巨大区别,因而运动表现出某种随机性。这种运动的另一特点是自相似性,即运动的某些局部会具体而微地不断呈现缩小了的整个运动的图景。这一类运动被称为混沌,是近年来引起广泛兴趣的研究课题。
关于微分动力系统的遍历性质的某些进一步的研究,涉及双曲性概念的某种推广。廖山涛于1963年和Β.И.奥谢列杰茨于1965年的工作在微分动力系统的研究中引入了李亚普诺夫指数的概念。利用这一概念可以定义非一致双曲性,即在平均意义下的双曲性。奥塞列杰茨证明了与这一概念相关联的乘法遍历定理。70年代中期,Б.佩辛对非一致双曲集的遍历性进行了深入的研究,得到了与公理A系统的有关研究相类似的结果。此外,为了深入了解运动的复杂性,人们还探索熵、李亚普诺夫指数、豪斯多夫维数等量的相互关系,探索在怎样的条件下会出现符号动力系统,在这方面也取得了值得重视的结果。
在遍历理论的数学研究不断深入的过程中,这一理论的最初目标(证明各种具体的哈密顿力学系统的遍历性)始终仍然是人们最重视的问题之一。有一类哈密顿系统称为可积系统,这种系统的能量面分解成一些不变环面,每一轨道在所属的环面上运动。这样的系统不能在整个能量面上具有遍历性。原来人们以为这种情形或许是少数例外,或许经过小扰动之后就会消失。从50年代到60年代,柯尔莫哥洛夫,Β.И.阿诺尔德和J.K.莫泽对这一情形进行了深入的研究.他们得到的KAM定理(见哈密顿系统)指出:上述状况经过小扰动并不会消失,大部分不变环面仍然存在,只是形状稍有改变。这一意义重大的定理表明,遍历的力学系统并不像人们原来想象的那么多。虽然如此,人们并不因此对遍历性的统计物理应用持怀疑态度,因为至少对于一些重要的情形来说从这一理论推导出的结果与实验事实吻合。1963年,Я.Γ.西奈依从数学理论上也证明了统计力学中重要的刚球气体模型确实具有遍历性。而辛钦早年的一项研究也指出:当系统的自由度无限增大时,遍历的可能性也就越来越增大。