[拼音]:biaozhun relixue hanshu
[外文]:standard thermodynamic functions
在化学热力学中,系统的某些热力学函数(如内能U、焓H、熵S、亥姆霍兹函数A和吉布斯函数G等)在某一任意指定状态下的绝对值是无法测定的。只能求出由于系统的温度、压力或组成等状态参量的改变而引起上述热力学函数的变化值。为了更便于表达和计算这些热力学函数及其变化,系统的这些状态函数被定义为一个共同的基线,标准热力学函数就是这样一种基线。
中国国家标准GB3102.8-82《物理化学和分子物理学的量和单位》中,对物质在不同聚集状态的标准态分别作出以下规定:
(1)气体(包括纯气体和混合气体) 标准态为任意指定温度T和1标准大气压下并具有理想气体(即无限稀薄气体)特性的纯气体。
(2)纯的液(固)体及其混合物 标准态为任意指定的温度T和1标准大气压下的纯液(固)体。
(3)溶液(包括液体溶液和固体溶液) 溶液中溶剂的标准态为在溶液所处的温度 T和 1标准大气压下的纯溶剂(液体或固体);溶液中溶质的标准态为在溶液所处的温度T和1标准大气压下,溶质的质量摩尔浓度bB=1摩尔/千克(或物质的量浓度cB=1摩尔/分米3),活度系数γB=1(或yB=1)的溶液中的溶质。
在上述对标准态的规定中,要注意以下几点:
(1)1标准大气压在历史上规定为101.325千帕,通常,不需要必须是101.325千帕,国际纯粹和应用化学联合会物理化学部热力学委员会推荐 100千帕作为标准压力。
(2)标准态没有规定温度,所以标准态将随温度而变化,即标准热力学函数的值只是系统的温度的函数,而与系统的压力及组成无关。根据国际纯粹与应用化学联合会的推荐,可选取273.15开、298.15开和303.15开作为参考温度,优先推荐298.15开作为参考温度。
(3)气体(及其混合物)和溶液中溶质的标准态都是实际不存在的状态,因为当气体的压力为标准压力时,它已不遵守理想气体方程;同样,当溶液中溶质的质量摩尔浓度bB=1摩尔/千克 (或cB=1摩尔/分米3)时,溶质的活度系数 γB(或yB)不等于1。因此,这两种标准态都是假想状态。
标准热力学函数用上角符号“°”表示标准。如H妔、S妔、G妔和 μ恖分别表示物质的标准摩尔焓、标准摩尔熵、标准摩尔吉布斯函数和标准化学势。p°代表标准压力,b°、c°分别代表标准质量摩尔浓度和标准物质的量浓度,b°=1摩尔/千克,c恖=1摩尔/分米3。
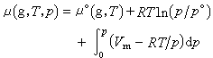
在各种标准热力学函数中,以标准化学势μ°最为重要,利用它可以表示出物质B在各种不同的聚集状态中的化学势。例如,纯气体的化学势可以写作:
式中p为纯气体的压力;Vm为纯气体的摩尔体积;R为气体常数;g代表气态。
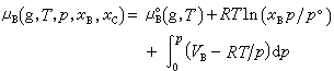
混合气体中气体B的化学势可写作:
式中xB、xC、…分别为混合气体中物质B、 C、…的摩尔分数;T和p分别为混合气体的温度和压力,VB为混合气体中物质B的偏摩尔体积。
溶液中溶质B的化学势可写作:
式中γB为溶质B的活度系数;V悀为溶质 B在溶液中的偏摩尔体积,上标∞表示无限稀薄的溶液。
其他标准热力学函数也可由标准化学势导出。例如标准绝对活度λ恖可定义为:
标准摩尔熵、标准摩尔焓、标准摩尔恒压热容和标准吉布斯函数可分别表示为:
- 参考书目
- M. L. McGlashan, Chemical Thermodynamics, TheChemical Society Burling House, London, 1973.