[拼音]:shuliu shuyun xitong
[外文]:beam transport system
在加速器和靶之间设置的一系列粒子传输元件的组合。广义的,可以把从粒子发射装置和靶之间的所有元件统称为束流输运系统。
传输元件最常用的传输元件有二极磁铁,开关磁铁,四极电磁透镜,六极、八极等多极磁铁,螺线管,聚束器,能散调节器等。有的束流输运系统还配置有粒子分离器、束流导向器、束流准直器或光阑、冲击磁铁、扭曲磁铁、切割磁铁、聚束磁铁以及废流收集器等专用传输元件。通常,这些元件按照其对粒子运动的作用,可以分为三大类。
(1)横向聚焦元件,如四极透镜和螺线管等;
(2)纵向变换元件,如聚束器和能散调节器等;
(3)偏转元件,如二极磁铁、静电偏转器和高频扫描偏转器等。这些传输元件的组合,不仅可实现束流的传输,还能根据需要改变束流的性能和参量,如束流几何形状、脉冲宽度、发散度匹配、能量分辨率以及时间结构等。
二极磁铁即偏转磁铁。在其磁场的作用下,束流中心轨道被偏转成圆弧形,如图1所示。
假设中心轨道(半径R)的磁场为B0,则在中央平面上任一点r=R+x处的场为
式中
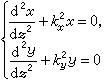
为场指数。带电粒子在这种场中的运动满足克斯特-塞贝尔(Kerst-Serber)方程:
式中k婌=(1-n)/R2,k婍=n/R2。当0<n<1时,束流在x和y两方向均聚焦。
不同动量的粒子在偏转磁铁中通过的平衡轨道不同,此即色散效应,可用于对束流质量、电荷的选择,能量分析以及实现束流的色散匹配等。但是,有时要在一定几何空间利用全部束流,这就需要设计消色差磁铁系统。
四极透镜可以分为磁四极透镜和电四极透镜两类(如图2所示)。在四极透镜的轴线上,磁场或电场等于零。在它的有效孔径内,磁场或电场是线性分布的,即有
或 
式中k和G都是常数。Bx、By和Ex、Ey分别是磁感应强度和电场强度在x方向及y方向的分量。
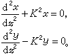
带电粒子在上述场中的运动(以磁四极透镜为例)满足方程
式中
,
m、Ze和υ分别为粒子的质量、电荷和速度。
由方程可见,对一定的带电粒子来说,一个四极透镜如果在一个方向(x或y方向)起聚焦作用,则在另一个方向必然起散焦作用。但是,由两个极性相反的四极透镜所组成的双合透镜系统以及由三个极性交替的四极透镜所组成的三合透镜系统,可以在两个方向上同时实现聚焦,如图3所示,此外,它们还常常用来实现束流横向相空间的匹配。
六极磁铁
由围绕着孔径均匀排列而极性互相交替的六个极组成,它的磁场同半径的平方成比例。八极磁铁、十极磁铁等同它类似。多极磁铁主要用于校正非线性效应,如修正系统的各级像差等。
螺线管用它产生的磁场也可用来聚焦带电粒子。但由于它的功率损耗比四极透镜高得多,故一般只限用于低能束流或者对于束流的方位角对称性颇为重要的系统里。螺线管磁场也可用于控制极化束的自旋方向。
束流聚束器能压缩脉冲宽度,但会增加束流的能散。聚束器通常为一高频腔,利用速度调制原理来实现束流群聚。能散调节器又称散束器,其作用同聚束器相反。
束流输运系统的设计它基于束流传输理论。束流为许多单粒子的集合。每一个粒子都可以用由坐标和动量构成的相空间 (x,px;y,py;z,pz)的一个点来表示。因此,束流占有一定的相空间体积,此即发射度,由刘维定理可知,它在运动中保持不变。发射度和强度或亮度为束流的基本参量。束流强度为单位时间通过某截面的粒子数或其电荷数。打靶时则多采用束流亮度,其定义为单位时间通过单位截面的粒子数。
设计束流输运系统就是根据给定了的加速器出口的束流参量,设计最佳的传输元件组合,使在靶上得到所要求的束流,并且保证整个系统在投资上比较经济,在传输过程中获得合理的束流包络。
束流输运系统的设计有矩阵法和轨迹方程法两种数值计算方法。
(1)矩阵法。根据束流传输理论,束流可用一个六维相空间椭球来描述,传输元件对束流运动的作用可以用传输矩阵算子表示。矩阵法就是根据给定的初始束流相空间椭球,通过计算传输矩阵算子,设计束流输运系统使得传输后的束流相空间椭球符合要求。
(2)轨迹方程法。采用对带电粒子在电磁场中的运动方程直接积分的方法来设计束流输运系统。积分中,各个传输元件所产生的电磁场是预先给定的,它既可以是实验测量值,也可以是数值计算结果。
大容量高速度的计算机的发展,为这两种数值计算方法提供了有利的条件。并出现一些各具特色的程序。用数值积分法求解粒子运动轨迹,比矩阵法的精度要高得多,但所需的计算量相应的要大得多。
模拟机的应用,给束流输运系统的设计和研究,提供了一个直观而方便的工具。如图4所示的束流输运小型专用模拟机,可以对四极透镜、偏转磁铁、高频加速腔等元件组成的输运系统进行模拟。它既可以模拟带电粒子的轨迹,从而得到束流包络线,还可以给出系统轴向任意位置上的束流相空间椭圆,如图5所示。
近年来,有人提出了一种图解设计法,并被发展为计入空间电荷效应的图解法。据此可以求得薄透镜近似下,腰腰传输的束流轮廓、透镜强度和位置等。同时,也可以给出束流自身空间电荷效应对于束流输运系统设计的影响及修正。