[拼音]:Mixieˊersiji
[外文]:Иван Всеволодович Μещерский (1859~1935)
俄国和苏联力学家。 1859年8月10日生于阿尔汉格尔斯克,1935年1月7日卒于列宁格勒。
密歇尔斯基于1878年入彼得堡大学学习数学和力学,修完了П.Л.切比雪夫(1821~1894)等著名学者的课程。1882年毕业后,留校从事科学研究和教学工作。1889年获应用数学硕士学位,1897年以《变质量质点动力学》的论文获应用数学博士学位。密歇尔斯基在彼得堡大学执教25年,在彼得堡(后列宁格勒)工学院执教33年,是一位认真的、富有创新精神的教师,对俄国和苏联的力学教育事业作出了重要贡献。他编著的《理论力学教程》和《理论力学习题集》都很著名。
密歇尔斯基致力研究变质量体运动,开创了理论力学的新领域。他在这方面研究了许多实际问题,例如陨星对地球质量的影响,冰山运动受冻结和融化的影响,太阳因吸积宇宙尘埃和辐射损失的质量变化,火箭、汽球以及彗星的运动等。他还全面研究了有心力场中变质量质点的运动规律,由此开创了一门新的天体力学。
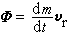
密歇尔斯基指出:当一个质点的质量m在运动过程中有变化时,牛顿第二定律应改写成如下的形式(后称密歇尔斯基方程):
,
式中F为外力;Φ为反推力。若并入质量的相对速度为vr,则反推力
。密歇尔斯基方程是现代火箭动力学的基础。
密歇尔斯基关于变质量体的方程载于他的博士论文《变质量质点动力学》。他编著的《理论力学习题集》初版于1914年,中译本按第18版(1952)译出,1953年出版。密歇尔斯基还发表了一些关于其他力学问题的论文。他的论文绝大多数发表在彼得堡大学的刊物上。