È¡´ú·´Ó¦

Óлú»¯ºÏÎïÊܵ½Ä³ÀàÊÔ¼ÁµÄ½ø¹¥£¬ÖÂʹ·Ö×ÓÖÐÒ»¸ö»ù(»òÔ­×Ó)±»Õâ¸öÊÔ¼ÁËùÈ¡´úµÄ·´Ó¦¡£È¡´ú·´Ó¦¿É·ÖΪÇ׺ËÈ¡´ú¡¢Ç×µçÈ¡´úºÍ¾ùÁÑÈ¡´úÈýÀà¡£ÕâЩ·´Ó¦Óֿɸù¾ÝËÙÂʾö¶¨²½ÖèÉæ¼°µÄ·Ö×ÓÊýÄ¿¶ø·ÖΪµ¥·Ö×Ó·´Ó¦ºÍË«·Ö×Ó·´Ó¦¡£Èç¹ûÈ¡´ú·´Ó¦·¢ÉúÔÚ·Ö×ÓÄÚ¸÷»ùÍÅÖ®¼ä£¬³Æ·Ö×ÓÄÚÈ¡´ú¡£ÓÐЩȡ´ú·´Ó¦ÖÐÓÖͬʱ·¢Éú·Ö×ÓÖØÅÅ£¨¼ûÖØÅÅ·´Ó¦£©¡£

Ç׺ËÈ¡´ú·´Ó¦

¼ò³ÆSN¡£±¥ºÍ̼ÉϵÄÇ׺ËÈ¡´ú·´Ó¦ºÜ¶à¡£ÀýÈ磬±´úÍéÄÜ·Ö±ðÓëÇâÑõ»¯ÄÆ¡¢´¼ÄÆ»ò·ÓÄÆ¡¢Áòëå¡¢Áò´¼ÄÆ¡¢ôÈËáÑκͰ±»ò°·µÈ·¢ÉúÇ׺ËÈ¡´ú·´Ó¦£¬Éú³É´¼¡¢ÃÑ¡¢Áò´¼¡¢ÁòÃÑ¡¢ôÈËáõ¥ºÍ°·µÈ£º

¹«Ê½ ·ûºÅ

´¼¿ÉÓëÇâ±Ëᡢ±»¯Á×»òÂÈ»¯ÑÇí¿×÷Óã¬Éú³É±´úÌþ¡£Â±´úÍé±»Ç⻯ÂÁï®»¹Ô­ÎªÍéÌþ£¬Ò²ÊǸºÇâÀë×Ó¶Ô·´Ó¦ÎïÖÐÂ±ËØµÄÈ¡´ú¡£µ±ÊÔ¼ÁµÄÇ׺ËÔ­×ÓΪ̼ʱ£¬È¡´ú½á¹ûÐγÉ̼£­Ì¼¼ü£¬´Ó¶øµÃµ½Ì¼Á´Ôö³¤²úÎÈç±´úÍéÓëÇè»¯ÄÆ¡¢È²»¯ÄÆ»òÏ©´¼Ñεķ´Ó¦¡£

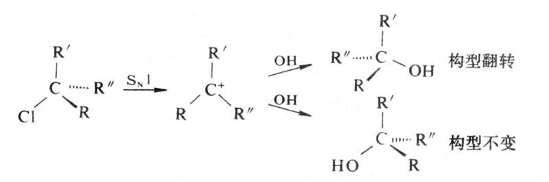
ÓÉÓÚ·´Ó¦Îï½á¹¹ºÍ·´Ó¦Ìõ¼þµÄ²îÒ죬SNÓÐÁ½ÖÖ»úÀí£¬¼´µ¥·Ö×ÓÇ׺ËÈ¡´ú·´Ó¦SN1ºÍË«·Ö×ÓÇ׺ËÈ¡´ú·´Ó¦ SN2¡£SN1µÄ¹ý³Ì·ÖΪÁ½²½£ºµÚÒ»²½£¬·´Ó¦Îï·¢Éú¼üÁÑ£¨µçÀ룩£¬Éú³É»îÐÔÖмäÌåÕý̼Àë×ÓºÍÀëÈ¥»ùÍÅ£»µÚ¶þ²½£¬Õý̼Àë×ÓѸËÙÓëÊÔ¼Á½áºÏ³ÉΪ²úÎï¡£×ܵķ´Ó¦ËÙÂÊÖ»Óë·´Ó¦ÎïŨ¶È³ÉÕý±È£¬¶øÓëÊÔ¼ÁŨ¶ÈÎ޹ء£ÓÉÓÚÕý̼Àë×Ó³ÊÆ½Ãæ½á¹¹£¬·´Ó¦½á¹ûʹÖÐÐÄ̼ԭ×ӵĹ¹ÐÍ·¢ÉúÍâÏûÐý»¯»ò²îÏòÒì¹¹»¯¡£SN2Ϊ¾É¼ü¶ÏÁѺÍмüÐγÉͬʱ·¢ÉúµÄЭͬ¹ý³Ì£¬ÊÔ¼Á´ÓÀëÈ¥»ùÍŵı³Ãæ½ø¹¥£¬·´Ó¦½á¹ûʹÖÐÐÄ̼ԭ×ӵĹ¹ÐÍ·¢Éúת»¯¡£·´Ó¦ËÙÂÊÓë·´Ó¦ÎïŨ¶ÈºÍÊÔ¼ÁŨ¶È¶¼³ÉÕý±È¡£ÄÜÉú³ÉÏà¶ÔÎȶ¨µÄÕý̼Àë×ÓºÍÀëÈ¥»ùÍŵķ´Ó¦ÎïÈÝÒ×·¢ÉúSN1£¬ÖÐÐÄ̼ԭ×Ó¿Õ¼ä×谭СµÄ·´Ó¦ÎïÈÝÒ×·¢ÉúSN2¡£

Èç¹ûÇ׺ËÊÔ¼Á³Ê¼îÐÔ£¬ÔòÇ׺ËÈ¡´ú·´Ó¦³£°éÓÐÏû³ý·´Ó¦£¬Á½ÕߵıÈÀýÈ¡¾öÓÚ·´Ó¦Îï½á¹¹¡¢ÊÔ¼ÁÐÔÖʺͷ´Ó¦Ìõ¼þ¡£µÍκͼîÐÔÈõ¶ÔSNÈ¡´úÓÐÀû¡£

½øÈëµÄÈ¡´ú»ùÍÅ£¬¿ÉÒÔÕ¼¾ÝÔ­À´ÀëÈ¥»ùÍŵÄλÖ㬼´¹¹ÐͲ»±ä;Èç¹û½øÈë»ùÍÅÊÇ´ÓÀëÈ¥»ùÍŵı³Ãæ½øÈëµÄ£¬Ôò·¢Éú¹¹Ð͵ķ­×ª¡£ÕâÖÖÁ¢Ìå¹ØÏµ¿ÉÓÃÏÂʽ±íʾ£º

ͼ ·¼×åÈ¡´ú·´Ó¦

·Ö·¼×åÇ×µçÈ¡´ú·´Ó¦SEArºÍ·¼×åÇ׺ËÈ¡´ú·´Ó¦SNArÁ½À࣬Ar±íʾ·¼»ù¡£

·¼Ìþͨ¹ýÏõ»¯¡¢Â±»¯¡¢»Ç»¯ºÍ¸¥ÀïµÂ-¿ËÀ×·ò´Ä·´Ó¦£¬¿É·Ö±ðÔÚ·¼»·ÉÏÒý½øÏõ»ù¡¢Â±Ô­×Ó¡¢»ÇËá»ùºÍÍé»ù»òõ£»ù£¬ÕâЩ¶¼ÊôSEAr¡£·¼»·ÉÏÒÑÓÐÈ¡´ú»ùµÄ»¯ºÏÎȡ´ú»ù¶ÔÊÔ¼ÁµÄ½ø¹¥Óж¨Î»×÷Óᣱ½»·ÉϵÄÈ¡´ú»ùΪ¸øµç×Ó»ù͟ͱԭ×Óʱ£¬Ç×µçÊÔ¼Á½Ï¶àµØ½øÈëÆäÁÚλºÍ¶Ôλ£»È¡´ú»ùΪÎüµç×Ó»ùÍÅʱ£¬ÔòÒԵõ½¼äλ²úÎïΪÖ÷¡£ÀýÈç¼×±½Óë»ìËᣨÏõËáºÍÁòËᣩ×÷Ó㬵õ½Ïõ»ù¼×±½¸÷ͬ·ÖÒì¹¹Ì壬ÆäÖÐÁÚ¡¢¶Ô¡¢¼äµÄ±ÈÀýΪ40:57:3£»¶øÏõ»ù±½Óë»ìËá×÷Óõõ½¶þÏõ»ù±½¸÷Òì¹¹Ì壬ÆäÖÐÁÚ¡¢¶Ô¡¢¼äµÄ±ÈÀýΪ6:1:93¡£³ý·¢ÉúÕâЩÕý³£·´Ó¦Í⣬ÓÐʱÊÔ¼Á»¹¿ÉÒÔ½ø¹¥Ô­ÓÐÈ¡´ú»ùµÄλÖò¢È¡¶ø´úÖ®£¬ÕâÖÖÇé¿ö³ÆÎªÔ­Î»È¡´ú¡£

SNArÐèÒªÒ»¶¨Ìõ¼þ²ÅÄܽøÐС£Èç±´ú·¼ÌþÒ»°ã²»Ò×·¢ÉúSNAr£¬µ«µ±Â±Ô­×ÓÊܵ½ÁÚ»ò¶ÔλÏõ»ùµÄ»î»¯£¬ÔòÒ×±»È¡´ú£¬Èç2£¬4£­¶þÏõ»ùÂȱ½ÈÝÒ×Ë®½âΪ2£¬4£­¶þÏõ»ù±½·Ó¡£ÕâÊÇÓÉÓÚ±ԭ×ÓËùÔÚµÄ̼ԭ×ÓÉÏ£¬Êܵ½ÁÚλ»ò¶ÔλÏõ»ùµÄÎüµç×Ó×÷ÓõÄÓ°Ï죬ʹµç×ÓÔÆÃܶȽµµÍ£¬½ÏÒ×ÓëOH-¸ºÀë×Ó½áºÏ£¬Í¬Ê±Â±ËØ×÷Ϊ¸ºÀë×ÓÀëÈ¥£º

¹«Ê½ ·ûºÅ

±´ú·¼ÌþÔÚÇ¿¼îÌõ¼þÏÂÒ²¿É·¢ÉúÈ¡´ú£¬Æä»úÀíÓëǰÕß²»Í¬£¬ÊǾ­»îÐÔÖмäÌ屽ȲµÄÏû³ý£­¼Ó³ÉµÄ¹ý³Ì¡£ÀýÈ磺

¹«Ê½ ·ûºÅ

ÁÚ¼×±½°·ÎªÔ­Î»È¡´ú²úÎ¼ä¼×±½°·ÎªÒÆÎ»È¡´ú²úÎï¡£´ËÍ⣬·¼Ïã×åÖØµªÑÎÓÉÓÚÀëÈ¥»ùÍŶÏÁѳÉΪÎȶ¨·Ö×Óµª£¬ÓÐÀûÓÚÉú³É±½»ùÕýÀë×Ó£¬´Ó¶ø·¢ÉúÀàËÆSN1µÄ·´Ó¦¡£

¾ùÁÑÈ¡´ú·´Ó¦

¼ò³ÆSHΪ×ÔÓÉ»ù¶Ô·´Ó¦Îï·Ö×ÓÖÐijԭ×ӵĽø¹¥£¬Éú³É²úÎïºÍÒ»¸öеÄ×ÔÓÉ»ùµÄ·´Ó¦¡£ÕâÖÖ·´Ó¦Í¨³£ÊÇ×ÔÓÉ»ùÁ´Ê½·´Ó¦ÖеÄÁ´×ªÒƲ½Öè¡£ÍéÌþÂÈ»¯Éú³ÉÂÈ´úÍé»ìºÏÎïÊǵäÐÍÀý×Ó£º

CH4+Cl¡¤©¤¡úCH3¡¤+HCl Cl2+CH3¡¤©¤¡úCl¡¤+CH3Cl

һЩÓлúÎïÔÚ¿ÕÆøÖлᷢÉú×Ô¶¯Ñõ»¯£¬Æä¹ý³ÌÒ²ÊǾùÁÑÈ¡´ú£¬Èç±½¼×È©¡¢Òì±û±½ºÍËÄÇâÝÁµÈÓëÑõÆø×÷Ó㬿ɷֱðÉú³ÉÏàÓ¦µÄÓлú¹ýÑõ»¯Îï¡£