异构化

化合物分子进行结构重排而其组成和分子量不发生变化的反应过程。烃类分子的结构重排主要有烷基的转移、双键的移动和碳链的移动。反应通常在催化剂作用下进行。

40年代以前,异构化过程主要用于生产高辛烷值汽油调合组分。40年代以后,由于对航空汽油的大量需求,由异丁烷烷基化生产高辛烷值汽油调合组分的过程迅速发展,同时广泛开展了用三氯化铝作催化剂(见固体酸催化剂)的正丁烷异构化研究,并实现了工业化,扩大了烷基化的原料来源。1960年,美国大西洋炼油公司将异构化过程应用于芳烃的转换,开发了以氧化铝或氧化铝-氧化硅为载体的铂催化剂的二甲苯异构化工艺过程,随后日本三菱瓦斯化学公司又开发了用氟化氢-氟化硼作催化剂的液相二甲苯异构化过程。1976年和1978年美国莫比尔化学公司先后开发了使用新型ZSM-5分子筛催化剂的二甲苯气相和液相异构化过程。

反应类型

主要有气相法和液相法两种。按工业中最有代表性的原料,又分为:

(1)烷烃的异构化,如C4、C5、C6烷烃的异构化:

公式 符号

(2)烯烃的异构化,如1-丁烯的异构化:

公式 符号

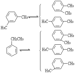
(3)芳烃的异构化,如二甲苯、乙苯的异构化:

公式 符号

(4)环烷烃的异构化,如甲基环戊烷的异构化:

公式 符号

环烷烃的异构化是催化重整过程的重要反应之一。

(5)甲酚的异构化:

公式 符号 催化剂

主要有下列几类:

(1)弗瑞德-克来福特型催化剂,常用的有三氯化铝-氯化氢、氟化硼-氟化氢等。这类催化剂活性高,所需反应温度低,用于液相异构化,如正丁烷异构化为异丁烷,二甲苯的异构化等。

(2)以固体酸为载体的贵金属催化剂,如铂-氧化铝、铂-分子筛、钯-氧化铝等。这类催化剂属于双功能催化剂,其中金属组分起加氢和脱氢作用,固体酸起异构化作用。采用这类催化剂时,反应需在氢存在下进行,故也称临氢异构化催化剂,用于气相异构化。烷烃、烯烃、芳烃、环烷烃的异构化也可采用。尤其是乙苯异构化为二甲苯和环烷烃的异构化只有这类催化剂有效。其优点是结焦少,使用寿命长。

(3)以固体酸为载体的非贵金属催化剂,如镍-分子筛等,一般也需有氢存在,用于气相异构化,但不能使乙苯异构化成二甲苯。

(4)ZSM-5分子筛催化剂,主要用于二甲苯的气相或液相异构化。

过程条件

异构化是可逆反应,反应常常可进行到接近平衡转化率。由于反应热效应很小,温度对平衡组成影响不甚显著,但低温操作有利于减少副反应。液相异构化反应温度一般为 90~150°C。气相异构化反应温度则为300~500°C。气相非临氢异构化可在低压(约0.3MPa)下进行,气相临氢异构化则需较高压力(2.0~2.5Mpa)下进行。氢烃摩尔比为5~20:1,过量氢气可循环使用。气相异构化可采用固定床反应器,液相均相异构化可用塔式反应器,非均相异构化则可用涓流床反应器。

工业应用

石油炼制工业中正丁烷异构化得到的异丁烷,可作为生产高辛烷值航空汽油掺合剂异辛烷的主要原料。因此,正丁烷异构化装置常与异丁烷烷基化装置联合使用。C5、C6烷烃的异构化生成的支链化合物,如异戊烷、异己烷等,可直接作为高辛烷值汽油的掺合剂,异构化过程也可应用于增产所需的目的产物。如C8芳烃的异构混合物在分离出对二甲苯以后,可以通过异构化反应得到具有平衡组成的C8芳烃异构混合物,然后再将对二甲苯分离出。这样就可最大限度地得到所需的目的产物对二甲苯。又如甲苯丙烯基化生成的甲基异丙苯、氧化后得到的主要是邻甲基苯酚,可通过异构化而转化成用途较大(生产合成树脂)的间甲酚。此外,在碳四馏分分离时也可采用异构化的方法。