电位

又称电势,是描写静电场(见电场)的一个标量。因为静电场的电场强度环量为零,是无旋场,所以才可用电位来描写。

静电场的环量定理

库仑定律指出:静止点电荷间的相互作用力是有心力,其方向在两者的连线上,其大小只依赖于点电荷之间的距离。因此静电力对电荷所作的功与路径无关,仅由起点和终点的位置决定(见辏力场)。若E为电场强度,L是场内的任一闭合路径,则静电场力作功与路径无关的性质可表述为,即静电场强度的环量恒为零,这就是静电场的环量定理。它的微分形式为墷×E=0,即静电场的旋度为零,称为无旋场。静电场的环量定理和高斯定理一起,构成静电场的基本方程式。

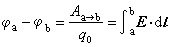
电位差

一电量为qo的点电荷,在静电场内任意两点a与b的电位能差Wa-Wb在数值上等于把该电荷从a点移到b点过程中电场力所作的功,此值与电量qo成正比,电位能差与qo的比值则与电荷本身无关,反映了场的特性,称为静电场内这两点的电位差。a、b两点间的电位差为

在数值上等于把一个单位正电荷从a点移到b点的过程中电场力所作的功。电位差又称电势差,在直流电路中又称为电压(因直流电路中的电场是稳恒电场,也是无旋场),在SI单位制中以伏[特](V)为单位。

电位

静电场内任意两点的电位差是完全确定的,但场内任一点的电位并不确定,只有在选定电位的零值点之后,才能确定任一点的电位。所谓某点的电位,其数值为该点与电位零值点之间的电位差。电位零值点的选择在不同问题中可以不同。如在电力工程中,习惯把地球表面作为零电位;在电信工程中,零电位是任意指定的接点处。当产生电场的电荷分布在空间有限的范围内时,在理论计算中常取无穷远处作为电位的零值点,这时,场内P点的电位定义为

即P点的电位在量值上等于把一个单位正电荷从P点移到无穷远的过程中电场力所作的功。

根据库仑定律,可以求得电量为 q的点电荷在无限真空中产生的电位为 r为观察点到点电荷的距离。根据场的叠加原理,一组点电荷在无限真空中产生的电位为。在电荷连续分布的情况下,求和号应换成相应的积分。

等位面和电位梯度

静电场内电位相等的各点构成的曲面称为等位面。一个点电荷产生的静电场的等位面是以点电荷为中心的球面。等位面上各点的场强与等位面垂直,等位面与电力线正交。

电场强度等于电位梯度的负值,即E=-墷。负号表示场强的方向是电位降低的方向。由于电位是标量,标量的运算比矢量简单,因此在许多具体问题中,往往先计算电位,再用电位梯度求出场强。

电位满足泊松方程和普拉斯方程。

参考文章