活化分析

通过鉴别和测量试样因辐照感生的放射性核素的特征辐射,进行元素和核素分析的放射分析化学方法。又称放射化分析或激活分析。它具有灵敏度和准确度高及精密度好等特点。(见放射性、核素、辐射)

发展概况

1934年英国物理学家J.查德威克和M.戈德哈伯实现了第一次光子活化分析。1936年匈牙利化学家G.C.de赫维西和H.莱维完成了历史上首次中子活化分析。1938年美国化学家G.T.西博格和J.J.利文古德进行了第一次带电粒子活化分析。40~50年代,由于核反应堆和碘化钠(铊)闪烁探测器的出现,使活化分析可以测定到ppm至ppb级,成为当时灵敏度最高的分析方法,并为蓬勃兴起的核科学和半导体材料学作出了重要的贡献。60年代后, 随着半导体探测器特别是大体积同轴型锗(锂)探测器和计算机技术的引入,使活化分析测定多元素的潜力得到了充分的发挥,一次辐照可同时测定四、五十种元素,从而提高了活化分析与其他分析方法竞争的能力。70年代以来,由于辐照设备和各种探测技术的不断完善,活化分析已经广泛应用于材料科学、海洋学、环境科学、生物学、医学、地球化学、宇宙化学、考古学和其他领域。

基本原理

活化分析的基础是核反应。活化分析主要是利用核反应所生成的放射性核素的核性质或核反应过程中放出的瞬发辐射来进行元素和核素分析。

在核反应中,生成的放射性核素的净生长速率(dNt/dt) 与发生核反应的速率 (φσN ) 和生成核的衰变速率(-λNt)有关,用公式表示为:

dNt/dtφσNλNt

式中φ为入射粒子在单位时间和单位面积中的粒子数(即粒子注量率);σ为发生所需核反应的几率(即核反应截面);N为靶核数目(即被测核素的数目);λ为感生放射性核素的衰变常数;Ntt时刻放射性核素的数目。

在一般情况下,生成的放射性核素数目NtN小得多,因此可将N 视为常数,上式积分后可得:

公式 符号

AtφσN[1-exp(-0.693t/T┩)]

式中Att 时刻所生成的放射性核素的活度;T┩为放射性核素的半衰期。

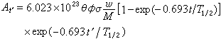
在活化分析中,一般辐照后并不立即进行放射性测量,而是让放射性试样“冷却”(即衰变)一段时间,于是在辐照结束后t′时刻的放射性活度At为:

公式 符号

式中靶核数目N=6.023×1023θω/Μ;θ为靶核的天然丰度;ω 为靶元素的重量;Μ为靶元素的原子量。将N值代入上式可得:

公式 符号

此式即活化分析中最基本的活化方程式。

从原理上讲,活化分析是一种绝对分析法。但由于At的绝对测量比较麻烦,σφ值也不易准确测定。所以在实际工作中很少用绝对法,而大多采用相对法(或称以较法)。所谓相对法,即配制含有已知量(ωn)待测元素的标准,与含有ωs量的待测元素的试样在相同条件下辐照和测量:

公式 符号

由此可得:

公式 符号

式中,CstCnt分别为t′时测量的试样和标准中待测核素的计数率,于是,试样中待测元素的重量与试样重量(ω)之比为:

公式 符号

此式即为相对法活化分析的基本公式。

分析步骤

活化分析大体上可分为五个步骤。

试样和标准的制备

一般选取几毫克至几十毫克试样,为减少误差,尽可能选择与试样中待测元素的含量和化学状态相近的标准。

活化

将试样和标准一起放在反应堆、加速器或同位素源等装置中,经受相同注量率的粒子辐照,以减少自屏蔽或自吸收效应等因素引起的误差。

放射化学分离

试样辐照后,有时需要选用沉淀法、离子交换法、萃取法、蒸馏法、电化学法或同位素交换法等分离方法,以除去干扰放射性核素。

核辐射测量

用核辐射探测器测定试样和标准中待测核素的放射性。

数据处理

一般用计算机处理。

方法分类

活化分析可以根据不同的方法进行分类。按照辐照粒子的不同,活化分析可分为以下三类:

(1)中子活化分析,根据中子能量的不同,还可分为:热中子活化分析、快中子活化分析和高能中子活化分析。

(2)带电粒子活化分析,根据辐照粒子的不同,还可分为:质子活化分析、氘子活化分析、氢3活化分析、氦3活化分析、α 粒子活化分析和重离子活化分析等。

(3)光子活化分析, 根据光子引起核反应机理的不同,还可分为两种类型:一种是引起核转变反应的如 (γ,n)、(γ,p)和(γ,α)等,通过测定生成核的特征辐射进行分析鉴定;另一种是引起核散射反应的,即生成核为靶核的同质异能素,如(γ,γ′),通过测定同质异能素的特征辐射进行分析鉴定。

特点

活化分析灵敏度高,对大多数元素的分析灵敏度在10-6克至10-14克之间,对稀少、珍贵样品的分析最为有利;准确度高;精密度高,活化分析的精密度一般在±5%。活化分析可测定的元素范围广,可测定原子序数1~83之间的所有元素,还包括镭、锕、钍、镤、铀和钚;在同一份试样中,可同时测定30~40种元素,最高可达56种之多;可进行非破坏性分析;无试剂空白;可测定同位素组成,这是其他化学分析方法无法做到的。但活化分析法在一般情况下,只能分析元素的含量,而不能测定元素的化学状态和结构;分析灵敏度因元素而异,且变化很大;活化分析所需设备较复杂,价格较贵;一般说来,分析周期较长。活化分析法与一些重要的元素分析法的比较见表。

图

应用范围

综述

(1)中子活化分析是上述三类分析方法中应用最广的一种,除氢、氦、锂、铍和硼外,可以测定原子序数从 1~83之间的77种元素。

(2)带电粒子活化分析对于无法用中子活化分析或光子活化分析测定的锂、铍和硼等轻元素具有较高的分析灵敏度;带电粒子在物质中的射程很短,所以它是表层分析的理想方法。

(3)光子活化分析对于碳、氮和氧等轻元素以及钛、铁、锆、铊和铅等中重元素都具有较高的灵敏度;而热中子活化分析对于上述元素却不太灵敏。与带电粒子活化分析相比,光子活化分析的干扰反应甚少。

分述

(1)材料科学方面,活化分析可用于测定:高纯锗和高纯硅等半导体材料中含量在10-1ppb的痕量杂质;核工业需要的具有理想核性质的铀、石墨、锆和锂镁合金中的痕量杂质元素;激光通信用光导纤维中的钴、铬、铜等微量杂质;可控热核反应装置所需的石英、碳和硅表面上的铌和钒,探测极限对铌为7×1010个原子,对钒为6×1011个原子。

(2)生物学和医学方面,活化分析可用于测定各器官中痕量元素及新陈代谢过程中的大量基础数据;可用于研究各种疾病与痕量元素的关系;还可用来活化稳定的示踪剂,以研究体内各部位元素浓度随时间变化的规律;既可进行离体活化分析,又可进行体内活化分析。

(3)环境科学方面,环境分析化学要测定的污染元素的含量很低,特别是在大气、水、土壤、动植物、食品和人体组织中的含量极微,其绝对含量往往在10-6~10-12克水平,活化分析在这一领域可以发挥重要的作用。

(4)地质和地球化学方面,活化分析可以迅速、准确、大量地提供岩石、矿物、海水和海洋沉积物的分析数据,是研究元素组成、寻找演化规律、勘查和开发利用资源的有力工具。

(5)宇宙化学方面,活化分析是陨石、月球岩石和宇宙尘等地球外物质的元素组成和分布特征研究中最重要的手段。

发展趋势

(1)学科领域交叉和分析方法交叉:活化分析发展的特点之一是学科领域交叉,这主要是指生命科学、地学和环境科学,这三门学科约占活化分析工作总数的80%以上。分析方法交叉是指活化分析法和其他核分析法(如质子激发 X射线荧光法、质子散射法等)及非核分析法(如气相色谱法、激光光谱法等)的交叉配合使用和相互验证。

(2)新活化机理的研究:为了满足固体材料改性、半导体材料和合金材料中痕量轻元素分析的要求,一些国家正在积极开展冷中子源诱发的带电粒子反应,以测定固体介质中的氦、锂、硼、氮和氧等的深度分布。

(3)新应用领域的开拓:在γ射线天文学研究中,有时需将探测器发射到行星表面进行现场测定。这一工作要求探测器尽可能轻便、可靠。小型加速器和γ能谱仪联用就有可能完成这一任务。已有人进行模拟实验,利用中能氘子活化分析测定地球外物质的化学组成。

(4)特效放射化学分离程序的使用:它使活化分析不仅能测定样品中元素的含量,而且还能深入研究元素的分布和化学状态。例如矿物学研究中,利用不同的前处理法,可测定元素在地质样品中的分布特征;在生物学研究中,可测定元素在生物组织中的化学状态。

(5)计算机的广泛应用:在活化分析中,应用电子计算机控制操作程序,可实现分析仪器自动化和样品的连续测定。例如配有电子计算机的锗(锂)γ能谱仪可同时测定几百个样品中的几十种元素。

参考书目
  1. H. J. M.Bowen and D. Gibbons,Radioactivation Analysis,Clarendon Press,Oxford,1963.